| 查看: 183 | 回复: 0 | ||
[交流]
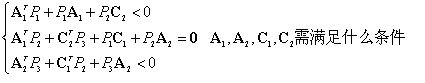
【求助】矩阵条件设置
|
» 抢金币啦!回帖就可以得到:
求助有机化学第二版陆阳申东升主编课件或者电子版书籍
+1/84
湖北师范大学调剂 化学材料类
+1/78
中飞院航空锂电池团队接受硕士生调剂
+1/74
[b]【材料表征】成分含量丨微观形貌丨分子结构丨材料加工丨预存服务[/b]
+1/71
武汉纺织大学全重实验室国家级人才团队先进纤维与功能器件课题组 接收调剂研究生
+1/53
宜春学院 药学研究生调剂52人
+1/53
欢迎化学、生物与医药、药学,生物、食品等相关专业的同学
+1/39
青岛大学固态电池研究团队招收材料、化学、物理等方向博士研究生
+2/36
哈尔滨工业大学(深圳)-何自开教授团队诚招化学工程与技术专业博士研究生
+1/33
西华大学材料学院表面科学与工程技术科研团队2026年招收研究生
+1/33
2023年南京林业大学(双一流学科建设高校)化工学院招生化工方向调剂生
+1/32
天津理工大学国家杰青王铁团队招聘
+1/29
双一流大学湘潭大学“化工过程模拟与强化”国家地方联合工程研究中心招收各类博士生
+1/15
宁夏大学化学化工学院魏逸彬研究员课题组招聘启事
+1/7
南医大基础医学院招收调剂生(2生信1生物))
+1/3
中科院科研助理招聘
+1/3
26博士申请
+1/3
上海师范大学有机化学专业研究生招生
+1/2
香港中文大学 生物医学学院/组织工程与再生医学研究所 招聘博士后/研究助理
+1/2
【MP期刊】青年编委招募开启!加入我们,一起推动材料科学前沿
+1/2














回复此楼