版块导航
正在加载中...
客户端APP下载
论文辅导
调剂小程序
登录
注册
帖子
帖子
用户
本版
应《网络安全法》要求,自2017年10月1日起,未进行实名认证将不得使用互联网跟帖服务。为保障您的帐号能够正常使用,请尽快对帐号进行手机号验证,感谢您的理解与支持!
24小时热门版块排行榜
>
论坛更新日志
(3477)
>
导师招生
(436)
>
虫友互识
(432)
>
文献求助
(323)
>
考博
(231)
>
休闲灌水
(222)
>
硕博家园
(146)
>
招聘信息布告栏
(120)
>
考研
(93)
>
论文投稿
(65)
>
博后之家
(62)
>
找工作
(54)
>
公派出国
(49)
>
绿色求助(高悬赏)
(40)
>
论文道贺祈福
(38)
>
基金申请
(34)
小木虫论坛-学术科研互动平台
»
化学化工区
»
电化学
»
电化基础
»
【其他】电催化求教
2
1/1
返回列表
查看: 245 | 回复: 1
只看楼主
@他人
存档
新回复提醒
(忽略)
收藏
在APP中查看
limei8018
银虫
(初入文坛)
应助: 0
(幼儿园)
金币: 319.8
帖子: 36
在线: 35小时
虫号: 940684
[交流]
【其他】电催化求教
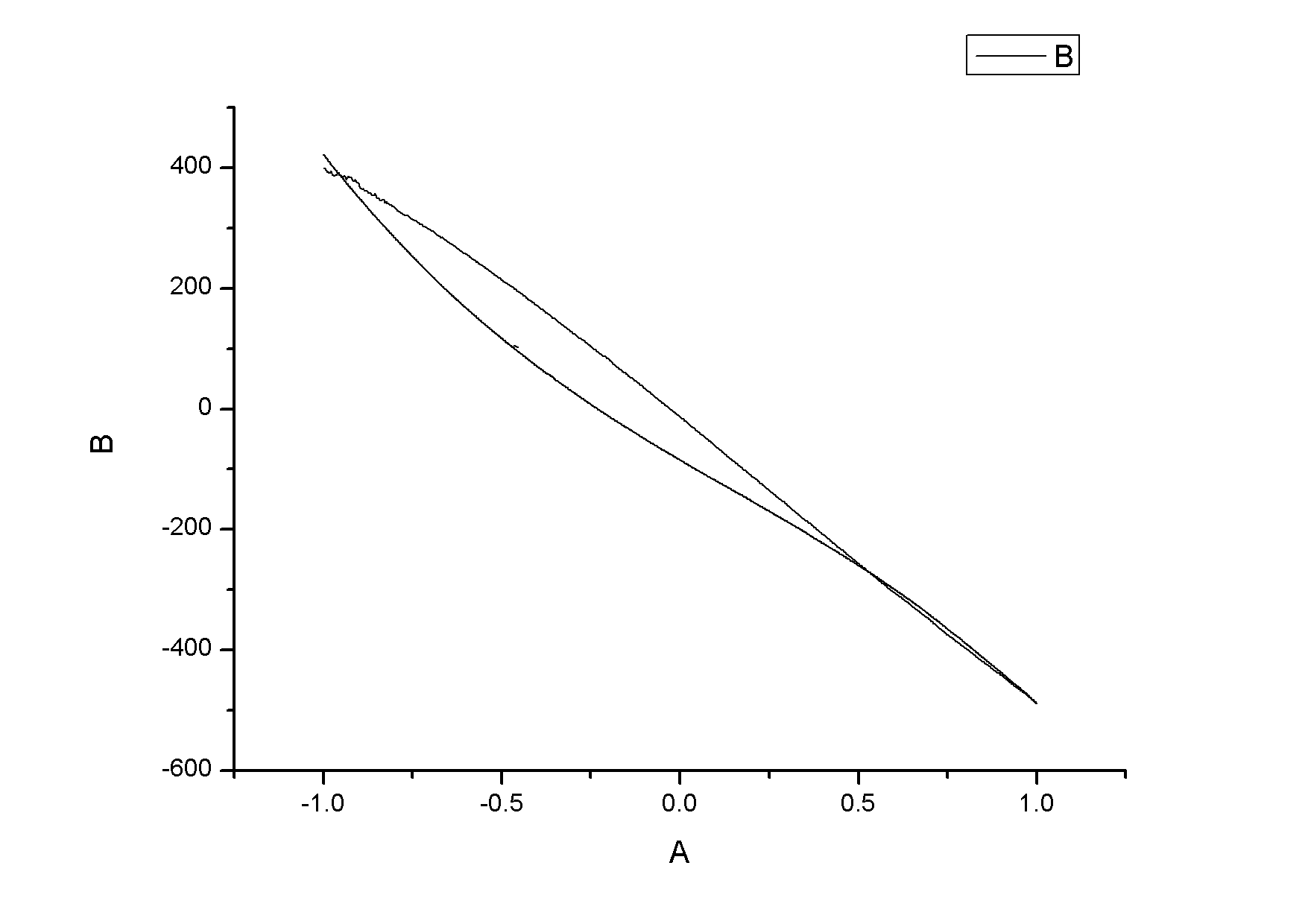
该图为循环伏安曲线图,曲线上有氧化还原峰吗?若有,大概位置在哪?初学,望不吝赐教
回复此楼
» 猜你喜欢
德国Karlsruhe Institute of Technology招收电化学储能及联合培养CSC博士等
已经有20人回复
德国Karlsruhe Institute of Technology招收电化学储能及联合培养CSC博士
已经有24人回复
物理化学论文润色/翻译怎么收费?
已经有59人回复
德国Karlsruhe Institute of Technology招收电化学储能及联合培养CSC博士
已经有1人回复
固态锂金属电池迁移数计算求助
已经有1人回复
荷兰奈梅亨大学赵文博与Galimberti课题组招收理论计算CSC博士 2000 欧元/月+房补
已经有0人回复
26储能博士申请自荐
已经有23人回复
上海交通大学--宁波东方理工大学电池方向博士招生
已经有10人回复
海南大学全国重点实验室杨金霖老师招收储能电池方向博士生(2026年3月报名,9月入学)
已经有1人回复
海南师范大学2026年博士研究生招收 (在职想提升学历人员可报考) 申请考核制+普通招考
已经有1人回复
申博求助
已经有0人回复
高级回复
» 抢金币啦!回帖就可以得到:
查看全部散金贴
农药产品分析实验人员招聘
+
5
/375
江西景德镇某大学接受调剂:环境科学与工程专业
+
1
/190
长春工业大学化学工程学院招收26年硕士调剂生
+
1
/91
山东理工大学材料学院泰山学者青年专家招收2026年调剂硕士研究生
+
1
/88
上海交通大学叶天南课题组招聘2026级博士研究生
+
1
/79
天津科技大学海洋与环境学院殷焕顺团队招博士生1名---分析化学领域
+
1
/78
广工-董华锋教授团队招收博士生(1学博-0-1专博)
+
1
/76
西工大控制科学博后招聘
+
1
/47
招聘启事(酶工程与发酵工程方向)
+
2
/44
南通大学生物医药方向国家级人才团队招收“申请-考核”制博士研究生20260222
+
2
/34
上海交通大学机械与动力工程学院光刻方向 2026 年硕士研究生招生启事
+
3
/12
仿生界面材料科学全国重点实验室刘欢教授/江雷院士团队诚招2026级博士生
+
1
/8
英国南安普顿大学招博后+博士(微流控,分子动力学)
+
1
/6
香港城市大学招聘博士后 (有机合成/催化/流动化学)
+
1
/5
英国南安普顿大学禅铎课题组诚招气候动力方向博士后
+
1
/3
全奖博士 英国利物浦大学+台湾清华大学 双博士学位
+
1
/3
新加坡南洋理工大学- 光电/ 智能传感/ 脑机接口方向 博士后
+
1
/3
中国科学技术大学 工程科学学院 国家级人才团队 诚聘博士后
+
1
/2
天津医科大学基础医学院张恒课题组博士后招聘
+
1
/2
河海大学力学博士生招聘
+
1
/1
1楼
2011-04-01 10:49:09
已阅
回复此楼
关注TA
给TA发消息
送TA红花
TA的回帖
hyz2006
木虫
(正式写手)
应助: 6
(幼儿园)
金币: 3378.9
帖子: 369
在线: 516.6小时
虫号: 1127634
没有
回复此楼
2楼
2011-05-25 14:18:41
已阅
回复此楼
关注TA
给TA发消息
送TA红花
TA的回帖
相关版块跳转
有机交流
有机资源
高分子
无机/物化
分析
催化
工艺技术
化工设备
石油化工
精细化工
电化学
环境
SciFinder/Reaxys
我要订阅楼主
limei8018
的主题更新
2
1/1
返回列表
如果回帖内容含有宣传信息,请如实选中。否则帐号将被全论坛禁言
普通表情
龙
兔
虎
猫
高级回复
(可上传附件)
百度网盘
|
360云盘
|
千易网盘
|
华为网盘
在新窗口页面中打开自己喜欢的网盘网站,将文件上传后,然后将下载链接复制到帖子内容中就可以了。
信息提示
关闭
请填处理意见
关闭
确定