±±¾©Ê¯ÓÍ»¯¹¤Ñ§Ôº2026ÄêÑо¿ÉúÕÐÉú½ÓÊÕµ÷¼Á¹«¸æ
²é¿´: 410  |  »Ø¸´: 6
±¾Ìû²úÉú 1 ¸ö ²©Ñ§EPI £¬µã»÷ÕâÀï½øÐв鿴

swrl20041219

ľ³æ (ÖøÃûдÊÖ)


[½»Á÷] ÇóÖúºÏ³É·´Ó¦»úÀí

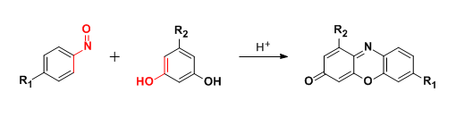
Çë¸ßÊÖ°ïæ½âÊÍһϷ´Ó¦µÄ·´Ó¦»úÀí ÒªÇóÓÐÏêϸµÄµç×Ó×ªÒÆµÄ²½Öè лл£¡




[ Last edited by swrl20041219 on 2011-3-28 at 11:16 ]

» ²ÂÄãϲ»¶

» ÇÀ½ð±ÒÀ²£¡»ØÌû¾Í¿ÉÒԵõ½:

²é¿´È«²¿É¢½ðÌù

ÒÑÔÄ   »Ø¸´´ËÂ¥   ¹Ø×¢TA ¸øTA·¢ÏûÏ¢ ËÍTAºì»¨ TAµÄ»ØÌû

tsl007

Ìú³æ (ÖøÃûдÊÖ)


swrl20041219(½ð±Ò+4, ²©Ñ§EPI+1): ¸ÐлӦÖú µ«ÊÇ×îÖյĽá¹û²»¶Ô ½á¹¹Ê½²»ÎÇºÏ 2011-03-31 00:11:34
ÒýÓûØÌû:
Originally posted by swrl20041219 at 2011-03-28 11:14:27:
Çë¸ßÊÖ°ïæ½âÊÍһϷ´Ó¦µÄ·´Ó¦»úÀí ÒªÇóÓÐÏêϸµÄµç×Ó×ªÒÆµÄ²½Öè лл£¡




[ Last edited by swrl20041219 on 2 ...

Èçͼ

2Â¥2011-03-30 15:58:22
ÒÑÔÄ   »Ø¸´´ËÂ¥   ¹Ø×¢TA ¸øTA·¢ÏûÏ¢ ËÍTAºì»¨ TAµÄ»ØÌû

swrl20041219

ľ³æ (ÖøÃûдÊÖ)


ÒýÓûØÌû:
Originally posted by tsl007 at 2011-03-30 15:58:22:
Èçͼ

×îºóµÄ·´Ó¦Íê³Éºó °´ÕÕÄãµÄ»úÀí²¢²»ÊÇÎÒ×îÖÕµÄÄ¿±ê»¯ºÏÎï ²»¹ý»¹ÊÇлл
3Â¥2011-03-31 00:12:41
ÒÑÔÄ   »Ø¸´´ËÂ¥   ¹Ø×¢TA ¸øTA·¢ÏûÏ¢ ËÍTAºì»¨ TAµÄ»ØÌû

tsl007

Ìú³æ (ÖøÃûдÊÖ)


ÒýÓûØÌû:
Originally posted by swrl20041219 at 2011-03-31 00:12:41:
×îºóµÄ·´Ó¦Íê³Éºó °´ÕÕÄãµÄ»úÀí²¢²»ÊÇÎÒ×îÖÕµÄÄ¿±ê»¯ºÏÎï ²»¹ý»¹ÊÇлл

ºÇºÇ£¬Â¥Ö÷¿´Çå³þÁ˰¡
4Â¥2011-03-31 09:24:28
ÒÑÔÄ   »Ø¸´´ËÂ¥   ¹Ø×¢TA ¸øTA·¢ÏûÏ¢ ËÍTAºì»¨ TAµÄ»ØÌû

tsl007

Ìú³æ (ÖøÃûдÊÖ)


ÒýÓûØÌû:
Originally posted by swrl20041219 at 2011-03-28 11:14:27:
Çë¸ßÊÖ°ïæ½âÊÍһϷ´Ó¦µÄ·´Ó¦»úÀí ÒªÇóÓÐÏêϸµÄµç×Ó×ªÒÆµÄ²½Öè лл£¡




[ Last edited by swrl20041219 on 2 ...

×òÌì´Ò棬ûÀ´µÃ¼°µ÷ÕûͼƬ

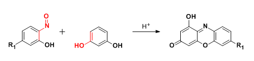
Ä¿±ê²úÎïÊÇÒ»ÖµÄ

5Â¥2011-03-31 09:26:52
ÒÑÔÄ   »Ø¸´´ËÂ¥   ¹Ø×¢TA ¸øTA·¢ÏûÏ¢ ËÍTAºì»¨ TAµÄ»ØÌû

swrl20041219

ľ³æ (ÖøÃûдÊÖ)


ÒýÓûØÌû:
Originally posted by tsl007 at 2011-03-31 09:26:52:
×òÌì´Ò棬ûÀ´µÃ¼°µ÷ÕûͼƬ

Ä¿±ê²úÎïÊÇÒ»ÖµÄ

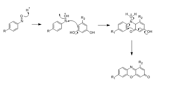
¸ù¾ÝÄã¸øµÄ·´Ó¦»úÀíµ½µÚÈý²½µÃµ½µÄÓ¦¸ÃÊÇÏÂÃæÍ¼ÖÐÇ°ÃæµÄÄǸö»¯ºÏÎïµÄ½á¹¹£¬ºÍºóÃæµÄÄ¿±ê»¯ºÏÎïµÄ½á¹¹Ê½ÊDz»Ò»ÑùµÄ¡£ÄÜ·ñ˵Ã÷ÕâÁ½¸ö»¯ºÏÎïÊÇÈçºÎת»¯µÄ£¿

6Â¥2011-03-31 20:15:30
ÒÑÔÄ   »Ø¸´´ËÂ¥   ¹Ø×¢TA ¸øTA·¢ÏûÏ¢ ËÍTAºì»¨ TAµÄ»ØÌû

swrl20041219

ľ³æ (ÖøÃûдÊÖ)


ûÓеõ½ÏëÒªµÄ´ð°¸ ÉêÇëÍË»¹½ð±Ò
7Â¥2011-04-10 01:03:49
ÒÑÔÄ   »Ø¸´´ËÂ¥   ¹Ø×¢TA ¸øTA·¢ÏûÏ¢ ËÍTAºì»¨ TAµÄ»ØÌû
Ïà¹Ø°æ¿éÌø×ª ÎÒÒª¶©ÔÄÂ¥Ö÷ swrl20041219 µÄÖ÷Ìâ¸üÐÂ
×î¾ßÈËÆøÈÈÌûÍÆ¼ö [²é¿´È«²¿] ×÷Õß »Ø/¿´ ×îºó·¢±í
[¿¼ÑÐ] µ÷¼ÁÇóÖú +4 Ïë»»ÊÖ»ú²»Ïë½âÊ 2026-04-02 4/200 2026-04-02 18:14 by ÇÇßÕßÕßÕ
[¿¼ÑÐ] 319Çóµ÷¼Á +14 Ì«ÈÝÒ×1018 2026-04-01 14/700 2026-04-02 16:56 by zzsw+
[¿¼ÑÐ] 310Çóµ÷¼Á +17 ÕùÈ¡¾Åµã˯ 2026-03-30 17/850 2026-04-02 16:40 by guanxin1001
[¿¼ÑÐ] 288Çóµ÷¼Á Ò»Ö¾Ô¸¹þ¹¤´ó ²ÄÁÏÓ뻯¹¤ +30 ÂåÉñ¸ç¸ç 2026-03-31 32/1600 2026-04-02 14:49 by Àµ´ºÑÞ
[¿¼ÑÐ] Ò»Ö¾Ô¸¸´µ©²ÄÁÏ£¬Ó¢Ò»×¨Ë¶£¬×Ü·Ö357µ÷¼Á +3 1050389037 2026-04-02 4/200 2026-04-02 14:32 by olim
[¿¼ÑÐ] ²ÄÁϹ¤³Ì322·Ö +8 ¹þ¹þ¹þºðºðºð¹þ 2026-04-01 8/400 2026-04-02 11:53 by 3041
[¿¼ÑÐ] 07ÉúÎïѧÇóµ÷¼Á һ־Ըͬ¼Ã´óѧ359·Ö +3 LAMC. 2026-03-30 3/150 2026-04-02 10:26 by 18828373951
[¿¼ÑÐ] 339Çóµ÷¼Á£¬Ïëµ÷»Ø½­ËÕ +7 ¿¾ÂóÑ¿ 2026-03-27 10/500 2026-04-01 21:35 by 495374996
[¿¼ÑÐ] 085601²ÄÁϹ¤³ÌÕÒµ÷¼Á +20 oatmealR 2026-03-29 21/1050 2026-04-01 21:00 by lijunpoly
[¿¼ÑÐ] 284Çóµ÷¼Á +12 СÐÜ¡«¡« 2026-03-31 12/600 2026-04-01 20:23 by »¨??
[¿¼ÑÐ] Çóµ÷¼Á +8 11ggg 2026-03-30 8/400 2026-03-31 13:56 by nanaliuyun
[¿¼ÑÐ] 323·Ö ʳƷÓëÓªÑøµ÷¼Á +3 ºÙooo 2026-03-31 3/150 2026-03-31 09:38 by longlotian
[¿¼ÑÐ] 0703»¯Ñ§321·ÖÇóµ÷¼Á +10 Èýdd. 2026-03-30 11/550 2026-03-30 19:24 by markhwc
[¿¼ÑÐ] 296Çóµ÷¼Á +10 ±Ë°¶t 2026-03-29 10/500 2026-03-30 10:50 by ̽123
[¿¼ÑÐ] 348Çóµ÷¼Á +6 СÀÁ³æ²»ÀÁÁË 2026-03-28 6/300 2026-03-30 10:29 by Evan_Liu
[¿¼ÑÐ] ±¾¿ÆÐÂÄÜÔ´¿ÆÑ§Ó빤³Ì£¬Ò»Ö¾Ô¸»ªÀíÄܶ¯285Çóµ÷¼Á +7 AZMK 2026-03-28 11/550 2026-03-28 21:01 by xxxsssccc
[¿¼ÑÐ] Çó·ð +7 ÃÔÈ˵Ĺþ¹þ 2026-03-28 7/350 2026-03-28 16:47 by ´ß»¯´ó°×
[¿¼ÑÐ] 085405 ¿¼µÄ11408Çó¸÷λÀÏʦ´ø×ß +3 Qiuѧing 2026-03-28 3/150 2026-03-28 09:19 by ÀֺǺǵÄ×·ÃÎÈË
[¿¼ÑÐ] 330Ò»Ö¾Ô¸Öйúº£Ñó´óѧ »¯Ñ§¹¤³Ì 085602 ÓжÁ²©ÒâÔ¸ Çóµ÷¼Á +3 wywy.. 2026-03-27 4/200 2026-03-28 03:32 by fmesaito
[¿¼ÑÐ] µ÷¼ÁÇóÊÕÁô +7 ¹ûÈ»ÓÐÎÒ 2026-03-26 7/350 2026-03-27 00:26 by wxiongid
ÐÅÏ¢Ìáʾ
ÇëÌî´¦ÀíÒâ¼û