| 查看: 341 | 回复: 2 | ||
liuguochao金虫 (小有名气)
|
[交流]
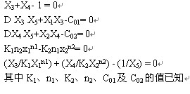
【求助】方程求解 已有2人参与
|

632564170
银虫 (小有名气)
- 应助: 0 (幼儿园)
- 金币: 106.5
- 帖子: 64
- 在线: 46.6小时
- 虫号: 1292841
- 注册: 2011-05-11
- 性别: GG
- 专业: 计算数学与科学工程计算

2楼2011-05-18 16:13:29
shiweidong12
木虫 (正式写手)
- 应助: 0 (幼儿园)
- 金币: 4738.9
- 散金: 1
- 帖子: 643
- 在线: 203.1小时
- 虫号: 1288148
- 注册: 2011-05-07
- 性别: GG
- 专业: 计算数学与科学工程计算
3楼2011-05-18 16:31:27














回复此楼