| 查看: 2725 | 回复: 4 | ||
duzidiaolin木虫 (正式写手)
|
[交流]
【求助】各位虫友留步,进来瞧瞧:介电常数、损耗为负值! 已有4人参与
|

68377605
木虫 (正式写手)
- 应助: 1 (幼儿园)
- 金币: 1813.8
- 散金: 100
- 红花: 1
- 帖子: 550
- 在线: 136.7小时
- 虫号: 728039
- 注册: 2009-03-21
- 性别: GG
- 专业: 凝聚态物性 II :电子结构
★
小木虫(金币+0.5):给个红包,谢谢回帖交流
小木虫(金币+0.5):给个红包,谢谢回帖交流
|
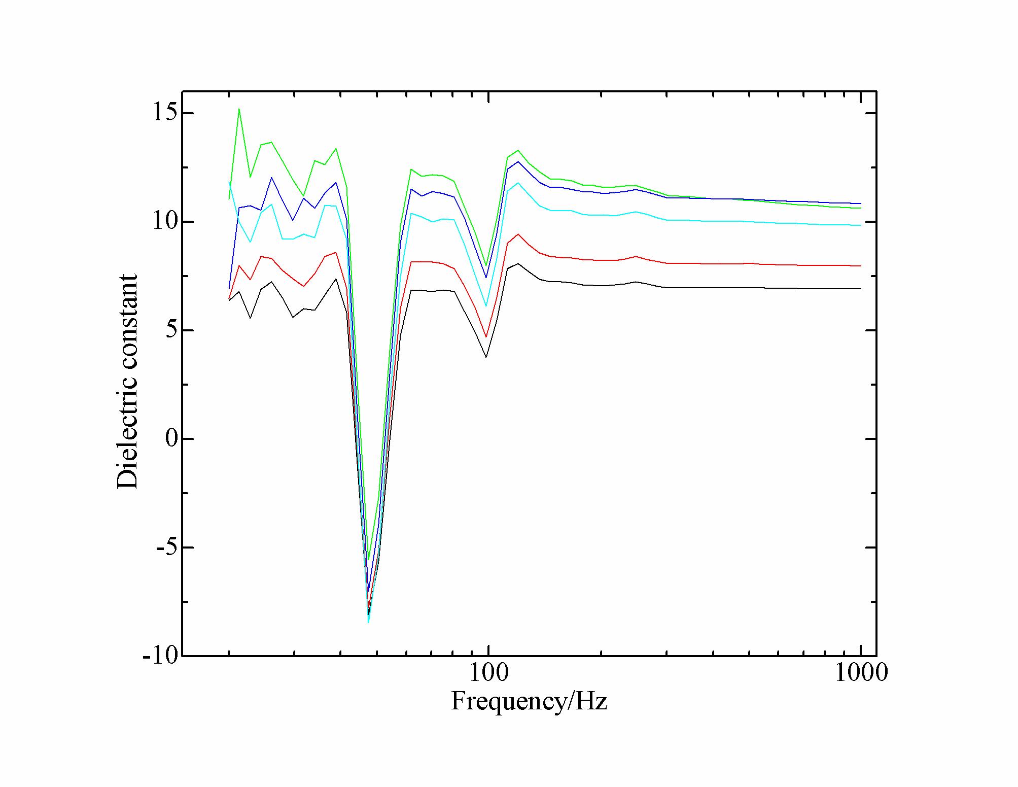
首先不知道你用的什么仪器,其次也不知道你是怎么测量的,我这里就只管说出我的看法供你参考,对不对你自己琢磨吧。 你的第二个图可能是画反了,反不反不重要,重要的是第一个图是介电常数的实部,第二个图是介电常数虚部。之所以我说第二个图反了,可能是因为系统或者你取复的介电函数的时候用的是epsilon=epsilon_1 - i*epsilon_2 虚部的峰值代表这个频率附近产生了强烈的光吸收,相对应的实部部分就会下降,出现负值(K-K变换的结果)。对于这种问题的处理,有经典的Lorentz谐振子模型来描述,你可以找本介绍固体光学性质的书或者章节看看。 |
2楼2011-03-19 14:59:38

3楼2011-03-19 16:11:29
duzidiaolin
木虫 (正式写手)
- 应助: 1 (幼儿园)
- 金币: 3205.7
- 红花: 1
- 帖子: 321
- 在线: 140.8小时
- 虫号: 967096
- 注册: 2010-03-10
- 专业: 功能陶瓷

4楼2011-03-19 17:23:55
huang8767926
金虫 (小有名气)
- 应助: 4 (幼儿园)
- 金币: 1018.9
- 帖子: 65
- 在线: 37.2小时
- 虫号: 1119054
- 注册: 2010-10-11
- 专业: 无机非金属类光电信息与功
5楼2013-04-12 15:40:27














回复此楼