版块导航
正在加载中...
客户端APP下载
论文辅导
调剂小程序
登录
注册
帖子
帖子
用户
本版
应《网络安全法》要求,自2017年10月1日起,未进行实名认证将不得使用互联网跟帖服务。为保障您的帐号能够正常使用,请尽快对帐号进行手机号验证,感谢您的理解与支持!
24小时热门版块排行榜
>
论坛更新日志
(430)
>
论文投稿
(27)
>
导师招生
(19)
>
虫友互识
(18)
>
基金申请
(8)
>
教师之家
(8)
>
考博
(7)
>
硕博家园
(6)
>
休闲灌水
(5)
>
招聘信息布告栏
(4)
>
公派出国
(4)
>
博后之家
(3)
>
找工作
(3)
>
有机资源
(2)
>
论文道贺祈福
(2)
>
访问学者
(1)
小木虫论坛-学术科研互动平台
»
化学化工区
»
分析
»
【求助】荧光3D扫描图 分析
3
1/1
返回列表
查看: 1365 | 回复: 2
只看楼主
@他人
存档
新回复提醒
(忽略)
收藏
在APP中查看
78436209
新虫
(初入文坛)
应助: 0
(幼儿园)
金币: 2698.4
帖子: 45
在线: 29.4小时
虫号: 843514
[交流]
【求助】荧光3D扫描图 分析
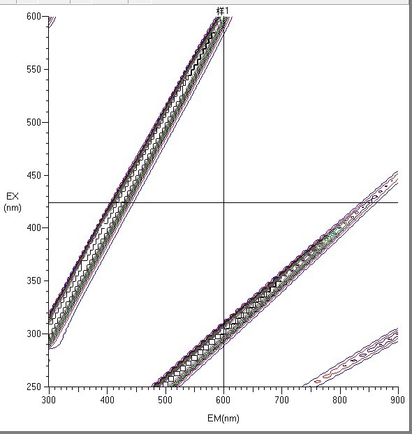
这是我扫的荧光3D图,我想问可以从这个图中得出它的最佳激发波长和发射波长吗?O(∩_∩)O谢谢
请各位不要吝啬你们的知识哈,也许只是简单的一句话说不定对我的帮助就好大呀!!!
回复此楼
» 猜你喜欢
表哥与省会女结婚,父母去帮带孩子被省会女气回家生重病了
已经有12人回复
依托企业入选了国家启明计划青年人才。有无高校可以引进的。
已经有14人回复
江汉大学解明教授课题组招博士研究生/博士后
已经有3人回复
AI 太可怕了,写基金时,提出想法,直接生成的文字比自己想得深远,还有科学性
已经有11人回复
依托企业入选了国家启明计划青年人才。有无高校可以引进的。
已经有11人回复
高级回复
» 本主题相关价值贴推荐,对您同样有帮助:
怎样测定物质的荧光光谱
已经有5人回复
F-7000 日立荧光分光光度计:关于时间扫描模式,荧光值不稳定的原因的问题
已经有7人回复
荧光分析
已经有8人回复
线性扫描图分析
已经有17人回复
全套精美3D人体解剖图谱 (扫描版[PDF]所有器官! 【转载】
已经有3462人回复
求助荧光谱图分析方面的问题
已经有11人回复
植物组织GFP绿色荧光观察
已经有22人回复
F-4500 荧光分光光度计 3D scan模式 谱图如何看
已经有12人回复
【求助】有机物荧光分析
已经有4人回复
【求助】荧光3D
已经有5人回复
【讨论】荧光光谱图解析
已经有6人回复
【求助】三维荧光EEM谱图
已经有19人回复
【投票】激发波长与发射波长
已经有12人回复
» 抢金币啦!回帖就可以得到:
查看全部散金贴
985教授征女友
+
1
/248
西湖大学2026年秋季入学物理学、光学、电子信息方向博士生有名额速来!!!
+
2
/236
西湖大学拓扑光学、非厄米光学、太赫兹方向博士后招聘
+
2
/226
江西理工大学联合中国科学院赣江创新研究院招收2026级博士研究生
+
1
/81
哈工大医康学院材料模拟计算方向人才招聘
+
1
/77
海南大学海洋技术与装备学院-科研助理招聘(可读博)--膜分离水处理方向
+
1
/46
澳大利亚麦考瑞大学(Macquarie University)国际博士硕士全额奖学金-计算机-26年中开学
+
1
/32
同济大学脑机智能团队脑机接口方向招生招聘
+
1
/28
湖南大学-分析检测技术和生物柔性传感器-招收1名博士研究生 (2026年,第二批)
+
1
/20
大叔征婚
+
1
/17
中科院深圳先进技术研究院招聘免疫及计算生物学方向博士后、科研助理或联培学生
+
1
/9
国家“双一流”建设高校-南京林业大学-国家级青年人才团队 招2026级申请考核制博士
+
1
/9
澳科大招收2026年秋季药物递送/生物材料方向硕士研究生(3月5日18:00报名截止)
+
1
/7
澳科大招收2026秋季全奖博士研究生(药剂学/生物材料方向,3月5日18:00截止)
+
1
/7
墨尔本大学(QS13)急招CSC博士(补齐全奖)/访问学者/博士后 (材料/生物医学/器官芯片等)
+
1
/6
香港中文大学(深圳)陈筱萌 课题组招生公告(博士 / 博后 / 硕士 / RA)
+
1
/4
澳科大药学院诚招2026年秋季药剂学/生物材料硕士研究生(2026年3月5日报名截止)
+
1
/4
广东省环境科学研究院招聘高分辨质谱方向博士一名
+
1
/4
【科研助理招聘-北京理工大学-集成电路与电子学院-国家杰青团队】
+
1
/3
苏州大学国家级青年人才团队2026年博士招生(有机光电功能材料方向)
+
1
/3
1楼
2011-03-14 20:28:48
已阅
回复此楼
关注TA
给TA发消息
送TA红花
TA的回帖
haohaolzu
金虫
(小有名气)
应助: 2
(幼儿园)
金币: 553.1
帖子: 66
在线: 8小时
虫号: 1208054
78436209(金币+5): 2011-04-26 08:34:08
从3D图谱中看不出来有明显的荧光峰啊,应该像等高线样的啊!
赞
一下
回复此楼
2楼
2011-03-15 09:23:39
已阅
回复此楼
关注TA
给TA发消息
送TA红花
TA的回帖
fzxie
至尊木虫
(正式写手)
应助: 1
(幼儿园)
金币: 13684.3
帖子: 429
在线: 362.9小时
虫号: 149471
78436209(金币+5): 2011-04-26 08:34:03
你这什么都没有,参数设置的不对,看着比纯水都干净
赞
一下
回复此楼
3楼
2011-03-15 09:59:43
已阅
回复此楼
关注TA
给TA发消息
送TA红花
TA的回帖
相关版块跳转
有机交流
有机资源
高分子
无机/物化
分析
催化
工艺技术
化工设备
石油化工
精细化工
电化学
环境
SciFinder/Reaxys
我要订阅楼主
78436209
的主题更新
3
1/1
返回列表
如果回帖内容含有宣传信息,请如实选中。否则帐号将被全论坛禁言
普通表情
龙
兔
虎
猫
高级回复
(可上传附件)
百度网盘
|
360云盘
|
千易网盘
|
华为网盘
在新窗口页面中打开自己喜欢的网盘网站,将文件上传后,然后将下载链接复制到帖子内容中就可以了。
信息提示
关闭
请填处理意见
关闭
确定