| ²é¿´: 380 | »Ø¸´: 2 | ||
hu919263½ð³æ (³õÈëÎÄ̳)
|
[½»Á÷]
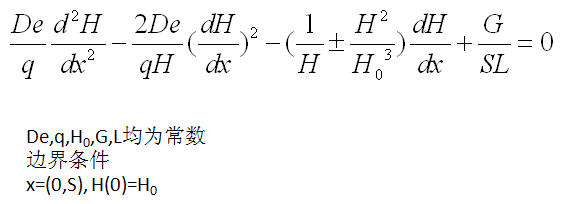
¡¾ÇóÖú¡¿ÈçºÎÓÃmatlabÇó½âÕâ¸ö·½³Ì£¿¡¾ÒÑÍê½á¡¿ ÒÑÓÐ2È˲ÎÓë
|
xiegangmai
°æÖ÷ (Ö°Òµ×÷¼Ò)
ÎÒûͷÏÎ
- Ó¦Öú: 157 (¸ßÖÐÉú)
- ¹ó±ö: 5.735
- ½ð±Ò: 40609
- É¢½ð: 2394
- ºì»¨: 63
- ɳ·¢: 4
- Ìû×Ó: 4046
- ÔÚÏß: 1330.2Сʱ
- ³æºÅ: 653607
- ×¢²á: 2008-11-13
- ÐÔ±ð: GG
- רҵ: »úе¶¯Á¦Ñ§
- ¹ÜϽ: ·ÂտģÄâ
¡ï ¡ï ¡ï
Сľ³æ(½ð±Ò+0.5):¸ø¸öºì°ü£¬Ð»Ð»»ØÌû½»Á÷
ÓàÔó³É(½ð±Ò+2): лл²ÎÓëÓ¦Öú£¡ 2011-03-20 16:46:42
Сľ³æ(½ð±Ò+0.5):¸ø¸öºì°ü£¬Ð»Ð»»ØÌû½»Á÷
ÓàÔó³É(½ð±Ò+2): лл²ÎÓëÓ¦Öú£¡ 2011-03-20 16:46:42
|
Ö»ÄÜ·ÖÁ½´Î½øÐÐÇó½â°É¡£+-²¿·ÖÉÔ´¦ÀíһϾͿÉÒÔÁË£¬ÕÕ×ÅMATLAB helpµÄodeϵÁк¯ÊýºóµÄÀý×Ó£¬¾ÍÄÜд³öÀ´ÁË¡£ ·ÇÏßÐÔ£¬½¨ÒéÓÃode15s»òode23s¡£ |

2Â¥2011-03-16 14:47:21
hu919263
½ð³æ (³õÈëÎÄ̳)
- Ó¦Öú: 0 (Ó×¶ùÔ°)
- ½ð±Ò: 724.5
- É¢½ð: 10
- Ìû×Ó: 46
- ÔÚÏß: 33.4Сʱ
- ³æºÅ: 466860
- ×¢²á: 2007-11-24
- ÐÔ±ð: GG
- רҵ: ·ÖÀë¹ý³Ì
3Â¥2011-03-16 18:49:55














»Ø¸´´ËÂ¥