| 查看: 587 | 回复: 6 | |||
[交流]
级数求和问题 已有3人参与
|
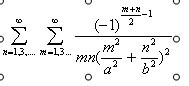
| 『求助』关于matlab级数求和问题,题目为:见图片 |
» 猜你喜欢
【修正版】单环用磁约束低速电子实验方案(简化版)
已经有0人回复
桂林理工大学物理学专业招收调剂,还有三个名额!!!
已经有22人回复
物理学I论文润色/翻译怎么收费?
已经有267人回复
考博自荐
已经有4人回复
山东大学第二批博士研究生招生
已经有0人回复
中国科学院东莞材料科学与技术研究所-2026年博士招生-吴昊研究员-磁学与自旋电子学
已经有0人回复
《电磁学》教材推荐
已经有1人回复
【急招】合肥工大核聚变材料计算方向2026级工程博士生
已经有4人回复
大豆异黄酮分离
已经有0人回复
湖南大学材料学院急招2026年博士生,临时增加一名博士联培指标
已经有10人回复
天津理工大学晶体材料全国重点实验室刘红军教授课题组招收博士生1-2名
已经有0人回复
ftp0000
木虫 (小有名气)
- 应助: 0 (幼儿园)
- 金币: 1822.1
- 帖子: 292
- 在线: 6.6小时
- 虫号: 585530
- 注册: 2008-08-08
- 专业: 凝聚态物性 II :电子结构
2楼2011-03-14 13:03:16
3楼2011-03-15 10:42:42
4楼2011-03-15 10:43:28
xiaoqing8569
铁杆木虫 (著名写手)
奥林匹亚光学院院长
- 应助: 37 (小学生)
- 金币: 7461.2
- 散金: 2240
- 红花: 14
- 帖子: 1822
- 在线: 696.7小时
- 虫号: 458097
- 注册: 2007-11-13
- 性别: GG
- 专业: 应用光学
5楼2011-03-16 08:11:02
6楼2011-03-16 15:24:48
7楼2011-03-16 15:27:35












回复此楼