版块导航
正在加载中...
客户端APP下载
登录
注册
帖子
帖子
用户
本版
应《网络安全法》要求,自2017年10月1日起,未进行实名认证将不得使用互联网跟帖服务。为保障您的帐号能够正常使用,请尽快对帐号进行手机号验证,感谢您的理解与支持!
24小时热门版块排行榜
>
论坛更新日志
(2881)
>
导师招生
(1528)
>
招聘信息布告栏
(365)
>
虫友互识
(278)
>
文献求助
(177)
>
考博
(86)
>
基金申请
(78)
>
论文投稿
(71)
>
博后之家
(60)
>
攻关文献(高奖励)
(53)
>
休闲灌水
(50)
>
硕博家园
(49)
>
公派出国
(33)
>
找工作
(32)
>
论文道贺祈福
(26)
>
仿真模拟
(24)
小木虫论坛-学术科研互动平台
»
计算模拟区
»
计算模拟
»
程序代码
»
高手求导
2
1/1
返回列表
查看: 277 | 回复: 1
只看楼主
@他人
存档
新回复提醒
(忽略)
收藏
在APP中查看
笑世狂龙
金虫
(正式写手)
应助: 2
(幼儿园)
金币: 357.6
帖子: 501
在线: 136.3小时
虫号: 924139
[交流]
高手求导
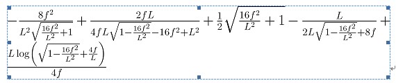
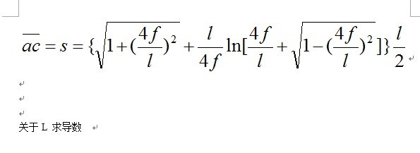
求这个函数的导数,望高手参与。
回复此楼
» 猜你喜欢
【修正版】单环用磁约束低速电子实验方案(简化版)
已经有0人回复
桂林理工大学物理学专业招收调剂,还有三个名额!!!
已经有22人回复
物理学I论文润色/翻译怎么收费?
已经有261人回复
考博自荐
已经有4人回复
山东大学第二批博士研究生招生
已经有0人回复
中国科学院东莞材料科学与技术研究所-2026年博士招生-吴昊研究员-磁学与自旋电子学
已经有0人回复
《电磁学》教材推荐
已经有1人回复
【急招】合肥工大核聚变材料计算方向2026级工程博士生
已经有4人回复
大豆异黄酮分离
已经有0人回复
湖南大学材料学院急招2026年博士生,临时增加一名博士联培指标
已经有10人回复
天津理工大学晶体材料全国重点实验室刘红军教授课题组招收博士生1-2名
已经有0人回复
高级回复
» 抢金币啦!回帖就可以得到:
查看全部散金贴
海南大学生物医学工程学院 阿尔茨海默病早期诊断与检测团队 招2026申请考核制博士
+
1
/55
西北工业大学王凯强课题组诚招【AI与光学交叉方向】博士/硕士研究生(含推免)
+
1
/34
双一流高校-南京林业大学-化学工程学院-国家海外优青团队招2026级博士(5月15号截止)
+
1
/33
南京农业大学人工智能学院 农业智能传感器与检测技术实验室招收2026级博士研究生
+
1
/29
双一流高校-南京林业大学-化学工程学院-国家海外优青团队招2026级博士(5月15号截止)
+
1
/27
求siesta、Transiesta教程资料
+
1
/10
高校急招科研助理
+
1
/8
求ENDNOTE免费版本,谢谢大神们!
+
1
/6
211高校2026年入学博士名额
+
1
/6
海南大学化学院—功能分子器件团队2026博士/研究助理招生+博士后招聘
+
1
/5
北航国家优青万思杰团队招收材料、化学博士一名
+
1
/5
湖南大学化工院招收2026年入学博士
+
1
/5
山东大学集成电路学院招收2026年9月入学的博士研究生
+
1
/5
检测XPS/XRD/SEM/拉曼/ICPQQ:3392739119
+
1
/5
华侨大学(厦门)——急招化工/材料/化学/能动——26年9月份博士
+
1
/5
【第2批博士还有名额,申请考核制】国家杰青王铁、国家高层次人才刘莎课题组
+
1
/5
天津大学张小岩教授团队招收教授/副教授/副研究员岗位(有编制和名额)
+
1
/5
华南理工大学微电子学院招电子信息专业博士研究生(2026年秋季入学)
+
1
/5
海南大学环境科学与工程学院2026年博士名额一个
+
1
/5
华南师范大学(211)- 生物光子学研究院招收生物学、物理学、神经科学等专业博士
+
1
/5
1楼
2011-03-13 11:39:28
已阅
回复此楼
关注TA
给TA发消息
送TA红花
TA的回帖
xiaoqing8569
铁杆木虫
(著名写手)
应助: 37
(小学生)
金币: 7461.2
帖子: 1822
在线: 696.7小时
虫号: 458097
笑世狂龙(金币+15): 谢谢你 2011-03-16 18:57:54
引用回帖:
Originally posted by
笑世狂龙
at 2011-03-13 11:39:28:
求这个函数的导数,望高手参与。
其中的log改为ln
[
Last edited by xiaoqing8569 on 2011-3-16 at 11:07
]
赞
一下
回复此楼
2楼
2011-03-16 08:19:27
已阅
回复此楼
关注TA
给TA发消息
送TA红花
TA的回帖
相关版块跳转
第一性原理
量子化学
计算模拟
分子模拟
仿真模拟
程序语言
我要订阅楼主
笑世狂龙
的主题更新
2
1/1
返回列表
如果回帖内容含有宣传信息,请如实选中。否则帐号将被全论坛禁言
普通表情
龙
兔
虎
猫
高级回复
(可上传附件)
百度网盘
|
360云盘
|
千易网盘
|
华为网盘
在新窗口页面中打开自己喜欢的网盘网站,将文件上传后,然后将下载链接复制到帖子内容中就可以了。
信息提示
关闭
请填处理意见
关闭
确定