版块导航
正在加载中...
客户端APP下载
论文辅导
调剂小程序
登录
注册
帖子
帖子
用户
本版
应《网络安全法》要求,自2017年10月1日起,未进行实名认证将不得使用互联网跟帖服务。为保障您的帐号能够正常使用,请尽快对帐号进行手机号验证,感谢您的理解与支持!
24小时热门版块排行榜
>
论坛更新日志
(2477)
>
虫友互识
(250)
>
导师招生
(112)
>
硕博家园
(85)
>
文献求助
(84)
>
考研
(60)
>
考博
(52)
>
休闲灌水
(42)
>
博后之家
(36)
>
招聘信息布告栏
(32)
>
教师之家
(27)
>
公派出国
(27)
>
论文道贺祈福
(25)
>
基金申请
(24)
>
论文投稿
(23)
>
找工作
(20)
小木虫论坛-学术科研互动平台
»
化学化工区
»
催化
»
催化剂制备
»
【求助】有关在合成如下配合物中三乙胺做缚酸剂的问题
1
1/1
返回列表
查看: 638 | 回复: 0
只看楼主
@他人
存档
新回复提醒
(忽略)
收藏
在APP中查看
梦想在望2010
新虫
(初入文坛)
应助: 0
(幼儿园)
金币: 42
帖子: 5
在线: 2.2小时
虫号: 965878
[交流]
【求助】有关在合成如下配合物中三乙胺做缚酸剂的问题
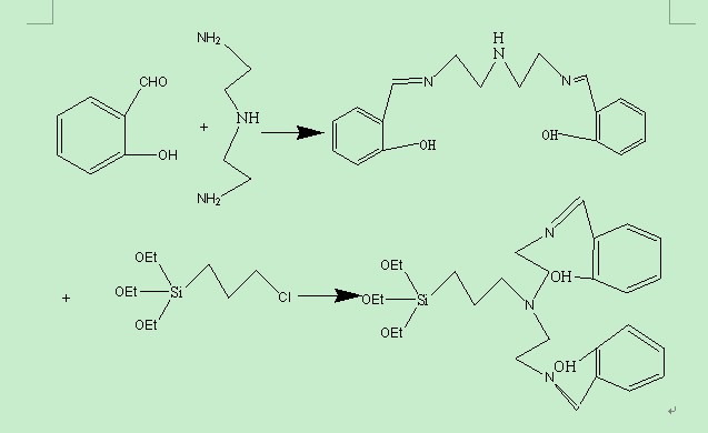
先以二分子水杨醛和一分子二乙烯三胺反应,其后加入一分子氯丙基三乙氧基硅烷后有目的产物和盐酸生成,想除去生成的盐酸,同时也为了加快反应速度,可否加入三乙胺(即三乙胺能否与未反应的水杨醛、二乙烯三胺、氯丙基三乙氧基硅烷及生成产物发生反应),请各位赐教,谢谢!!!
回复此楼
» 猜你喜欢
国家级人才课题组招收2026年入学博士
已经有1人回复
国家级人才课题组招收2026年入学博士
已经有0人回复
化学工程及工业化学论文润色/翻译怎么收费?
已经有132人回复
国家级人才课题组招收2026年入学博士
已经有0人回复
大连海事大学船舶洁净能源研究中心2026年博士研究生招生启事
已经有10人回复
求 IEC 61340-4-11:2025
已经有0人回复
武汉纺织大学全国重点实验室陈嵘教授团队招收2026级学术/专业型硕士研究生(调剂)
已经有0人回复
求助哪里可以做光催化产氢的放大实验
已经有10人回复
招生帖
已经有6人回复
侯旭课题组(化学、化工、环境、能源相关方向)欢迎你的加入
已经有8人回复
» 本主题相关商家推荐:
(我也要在这里推广)
高级回复
» 抢金币啦!回帖就可以得到:
查看全部散金贴
单曲循环久了很多都会变
+
1
/404
农药产品分析实验人员招聘
+
5
/290
江西景德镇某大学接受调剂:环境科学与工程专业
+
1
/187
【最后机会】深圳大学2026级土木工程博士急招
+
5
/170
求助哪里可以做光催化产氢的放大实验
+
1
/91
长春工业大学化学工程学院招收26年硕士调剂生
+
1
/84
山东理工大学材料学院泰山学者青年专家招收2026年调剂硕士研究生
+
1
/83
上海交通大学叶天南课题组招聘2026级博士研究生
+
1
/78
博洛尼亚大学能源材料课题组2个博后位置招聘(PNRR & MSCA)
+
1
/66
南京林业大学化工院勇强/赖晨欢教授团队招收申请考核制博士1名
+
1
/48
澳门理工大学人工智能智慧康养方向26 年9月入学博士招生有奖学金
+
1
/35
青岛科技大学2026年高分子材料方向科研助理招聘
+
1
/34
澳门理工大学人工智能智慧康养方向26 年9月入学博士招生 奖学金
+
1
/32
211大学【2026学博】补招
+
1
/28
中科院合肥物质研究院招聘水系锌电博士后(长期有效)诚聘海内外优秀博士后
+
1
/16
【少数民族】【生物医药】2026青岛大学招博士生
+
1
/15
香港城市大学招聘博士后 (有机合成/催化/流动化学)
+
1
/5
国科大杭州高等研究院2026年招材料科学与工程专业联合培养博士生1名
+
1
/5
中国科学技术大学 工程科学学院 国家级人才团队 诚聘博士后
+
1
/1
英国南安普顿大学禅铎课题组诚招气候动力方向博士后
+
1
/1
1楼
2011-03-11 20:07:13
已阅
回复此楼
关注TA
给TA发消息
送TA红花
TA的回帖
智能机器人
Robot
(super robot)
我们都爱小木虫
找到一些相关的精华帖子,希望有用哦~
合成芳基硼酸的问题!求助!
已经有26人回复
求助,缚酸剂的问题
已经有8人回复
仲醇和酰氯反应,三乙胺为缚酸剂,结果显示酰氯与三乙胺反应,却没有与醇反应!
已经有35人回复
金属配合物合成过程中遇到的问题
已经有17人回复
酰氯+醇 成酯的反应。。。,缚酸剂问题
已经有15人回复
求助大家三乙胺盐酸盐除去问题-附带产物结构
已经有16人回复
TBDMSCl保护羟基,用吡啶做的缚酸剂,有几个问题小弟不明,望赐教
已经有5人回复
三乙胺盐酸盐除去问题
已经有5人回复
酰氯跟胺的做酰胺,缚酸剂的用多大量
已经有19人回复
【求助】酰氯与醇反应可否用K2CO3做缚酸剂
已经有11人回复
【求助】三乙胺盐酸盐溶解性的问题~~
已经有8人回复
【讨论】三乙胺做缚酸剂的问题
已经有13人回复
【求助】有关过柱时,洗脱剂加三乙胺的问题。
已经有5人回复
【求助】由三乙胺合成三乙胺盐酸盐
已经有13人回复
【求助】混合酸酐法肽键合成,三乙胺用量问题
已经有8人回复
【求助】缚酸剂的使用问题
已经有9人回复
点击这里搜索更多相关资源
科研从小木虫开始,人人为我,我为人人
相关版块跳转
有机交流
有机资源
高分子
无机/物化
分析
催化
工艺技术
化工设备
石油化工
精细化工
电化学
环境
SciFinder/Reaxys
我要订阅楼主
梦想在望2010
的主题更新
1
1/1
返回列表
如果回帖内容含有宣传信息,请如实选中。否则帐号将被全论坛禁言
普通表情
龙
兔
虎
猫
高级回复
(可上传附件)
百度网盘
|
360云盘
|
千易网盘
|
华为网盘
在新窗口页面中打开自己喜欢的网盘网站,将文件上传后,然后将下载链接复制到帖子内容中就可以了。
信息提示
关闭
请填处理意见
关闭
确定