版块导航
正在加载中...
客户端APP下载
论文辅导
申博辅导
登录
注册
帖子
帖子
用户
本版
应《网络安全法》要求,自2017年10月1日起,未进行实名认证将不得使用互联网跟帖服务。为保障您的帐号能够正常使用,请尽快对帐号进行手机号验证,感谢您的理解与支持!
24小时热门版块排行榜
>
论坛更新日志
(571)
>
虫友互识
(44)
>
导师招生
(20)
>
教师之家
(8)
>
硕博家园
(8)
>
博后之家
(7)
>
论文投稿
(7)
>
考博
(6)
>
公派出国
(5)
>
考研
(5)
>
找工作
(4)
>
专业外语
(3)
>
基金申请
(3)
>
休闲灌水
(3)
>
职场人生
(1)
>
招聘信息布告栏
(1)
小木虫论坛-学术科研互动平台
»
学术交流区
»
论文投稿
»
投稿求助
»
关于Talyor and Francis 数据库copyright form 填写 急.......
7
1/1
返回列表
查看: 1558 | 回复: 6
只看楼主
@他人
存档
新回复提醒
(忽略)
收藏
在APP中查看
tanzhijian
木虫
(职业作家)
应助: 42
(小学生)
金币: 12221.9
帖子: 3408
在线: 1540.8小时
虫号: 1090310
[交流]
关于Talyor and Francis 数据库copyright form 填写 急.......
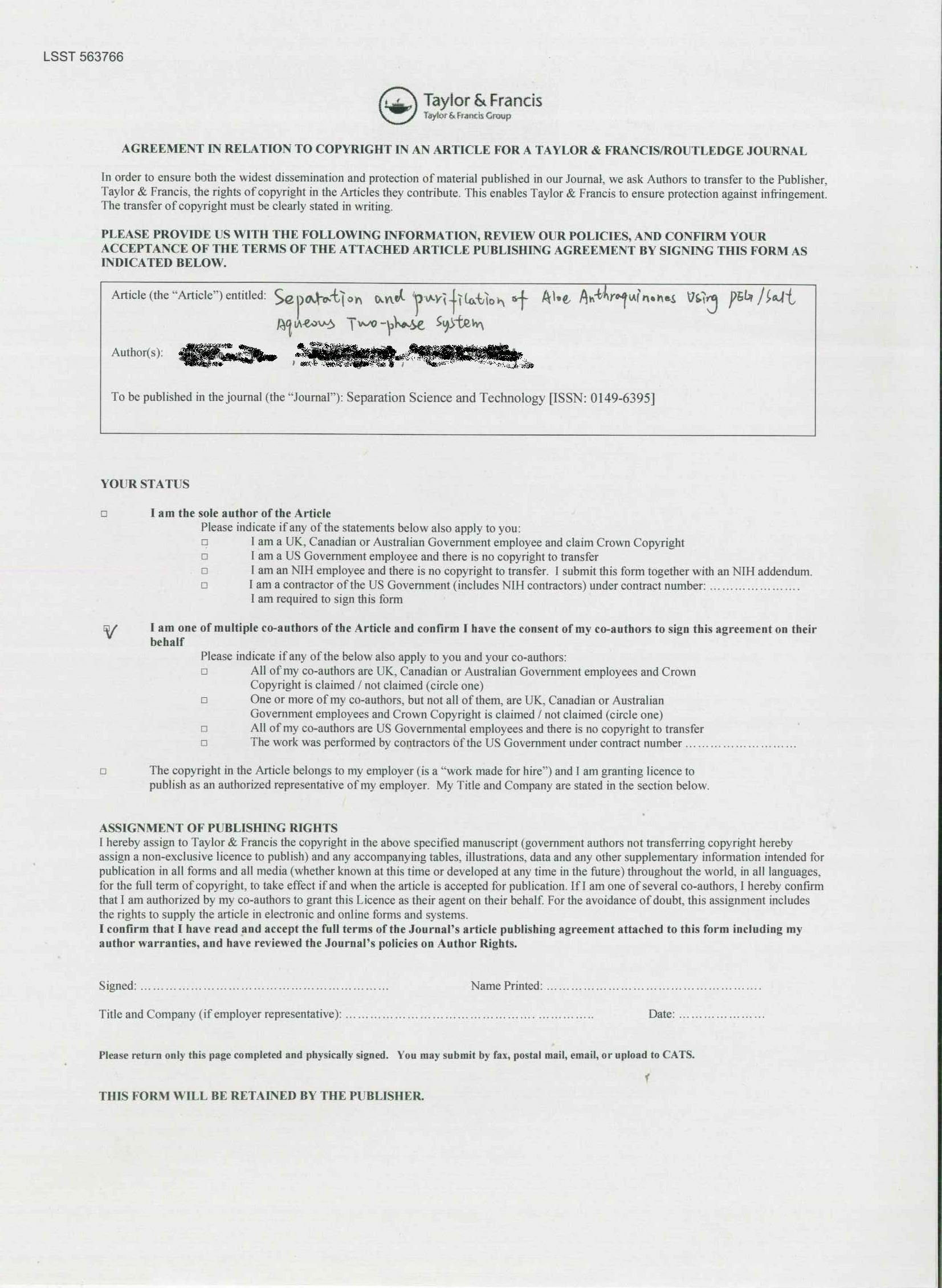
在Talyor and Francis 上传了版权协议,编辑回信说我填写错误,自己不知道错在哪?
哪位帮我看看错在哪。谢谢啊。名字被我涂掉了。
回复此楼
» 猜你喜欢
求个博导看看
已经有17人回复
青基代表作,AAAI之类的A会的special track在国内认可度高吗?还是归为workshop之流?
已经有3人回复
上海工程技术大学【激光智能制造】课题组招收硕士
已经有6人回复
带资进组求博导收留
已经有11人回复
自荐读博
已经有5人回复
上海工程技术大学张培磊教授团队招收博士生
已经有4人回复
求助院士们,这个如何合成呀
已经有4人回复
临港实验室与上科大联培博士招生1名
已经有9人回复
写了一篇“相变储能技术在冷库中应用”的论文,论文内容以实验为主,投什么期刊合适?
已经有6人回复
最近几年招的学生写论文不引自己组发的文章
已经有11人回复
高级回复
» 本主题相关价值贴推荐,对您同样有帮助:
关于copyright
已经有3人回复
Copyright form 还需要邮寄吗?
已经有9人回复
copyright form这么填对不对?
已经有11人回复
Accept and Request Unmarked Copy
已经有3人回复
Copyright form (PDF file - signed and scanned from printed copy) 怎么弄啊
已经有4人回复
copyright form中身份选错了怎么办啊?急!!!
已经有3人回复
» 抢金币啦!回帖就可以得到:
查看全部散金贴
南京都市圈高校大龄离异博士征友
+
2
/520
中国海洋大学与中国水产科学研究院 联合培养 专硕 食品加工与安全
+
1
/76
87 年东北小哥定居苏州(沪杭亦可),诚寻携手余生的你
+
1
/64
坐标北京不异地
+
1
/63
上海大学昝鹏教授、军事医学研究院伯晓晨研究员/倪铭副研究员 课题组招聘博士生
+
2
/42
如何掌握一门外语?
+
2
/30
西南交通大学前沿院碳中和与物质循环利用课题组招收博士生
+
1
/29
【招生啦招生啦】武汉理工大学朱曼副研究员招收2026年9月入学博士/硕士研究生
+
1
/28
南科大夏海平院士-深大张平玉课题组联合招聘博士后
+
1
/26
吉林大学材料物理本科生求问调剂信息
+
1
/26
天津大学化学系吴立朋课题组申请考核制博士招生/博后招聘-有机化学,金属有机
+
1
/10
哈尔滨工业大学招收硕士研究生(欢迎环境、市政、生物、化学、农业等专业,长期有效)
+
1
/9
【博士后/科研助理招聘-北京理工大学-集成电路与电子学院-国家杰青团队】
+
1
/7
天津大学化学系吴立朋课题组申请考核制博士招生/博后招聘-有机化学,金属有机
+
1
/7
深容SCI智能体四大模块:Method, Introduction, Discussion, Abstract
+
1
/6
天津大学化学系吴立朋课题组申请考核制博士招生/博后招聘
+
1
/6
中国科学院大连化学物理研究所DNL0902研究组招聘博士后和职工
+
1
/5
有多余纯化系统,20-200mm高压制备分离系统,配套齐全可对外代工、委托加工、项目合作
+
1
/2
Introduction要这么写,又快又好!深容Introduction智能体实测
+
1
/1
探究TGF-β在癌症免疫调控中的作用机制|肿瘤
+
1
/1
1楼
2011-03-10 22:33:07
已阅
回复此楼
关注TA
给TA发消息
送TA红花
TA的回帖
wellyy2005
至尊木虫
(文坛精英)
SEPI: 5
应助: 911
(博后)
贵宾: 0.81
金币: 34048.3
帖子: 15755
在线: 1752.8小时
虫号: 498546
tanzhijian(金币+2): Thanks 2011-03-11 09:28:44
后面没有签名啊:
signed:可以潦草的签名
name printed:必须工整的签名
date:签日期
赞
一下
回复此楼
2楼
2011-03-10 22:40:27
已阅
回复此楼
关注TA
给TA发消息
送TA红花
TA的回帖
yupengfei
金虫
(小有名气)
应助: 3
(幼儿园)
金币: 3492.3
帖子: 122
在线: 133.5小时
虫号: 736942
tanzhijian(金币+2): Thanks 2011-03-11 09:28:22
上面的不是手写的,最好直接在电子版的PDF文件上写。下面的才是手写的,自己签上去。你搞错地方了!
赞
一下
回复此楼
3楼
2011-03-11 01:02:17
已阅
回复此楼
关注TA
给TA发消息
送TA红花
TA的回帖
tanzhijian
木虫
(职业作家)
应助: 42
(小学生)
金币: 12221.9
帖子: 3408
在线: 1540.8小时
虫号: 1090310
引用回帖:
Originally posted by
wellyy2005
at 2011-03-10 22:40:27:
后面没有签名啊:
signed:可以潦草的签名
name printed:必须工整的签名
date:签日期
是按楼下yupengfei 回复的那样上面的是电子录入,下面的是通讯作者(导师)签名的吗?谢谢你!
赞
一下
回复此楼
4楼
2011-03-11 09:16:06
已阅
回复此楼
关注TA
给TA发消息
送TA红花
TA的回帖
tanzhijian
木虫
(职业作家)
应助: 42
(小学生)
金币: 12221.9
帖子: 3408
在线: 1540.8小时
虫号: 1090310
引用回帖:
Originally posted by
yupengfei
at 2011-03-11 01:02:17:
上面的不是手写的,最好直接在电子版的PDF文件上写。下面的才是手写的,自己签上去。你搞错地方了!
上面的一定要求电子录入,下面才是导师签字对吗?谢谢
赞
一下
回复此楼
5楼
2011-03-11 09:30:33
已阅
回复此楼
关注TA
给TA发消息
送TA红花
TA的回帖
zyr3211
新虫
(小有名气)
应助: 0
(幼儿园)
金币: 801.5
帖子: 89
在线: 43小时
虫号: 1673858
★
小木虫: 金币+0.5, 给个红包,谢谢回帖
你那里有没有Taylor and Francis杂志的Copyright Release Form?有的话,麻烦你给发一份,谢谢!
赞
一下
回复此楼
6楼
2014-06-20 10:24:40
已阅
回复此楼
关注TA
给TA发消息
送TA红花
TA的回帖
tanzhijian
木虫
(职业作家)
应助: 42
(小学生)
金币: 12221.9
帖子: 3408
在线: 1540.8小时
虫号: 1090310
引用回帖:
6楼
:
Originally posted by
zyr3211
at 2014-06-20 10:24:40
你那里有没有Taylor and Francis杂志的Copyright Release Form?有的话,麻烦你给发一份,谢谢!
有的,但是你得按你杂志发过来的为准,因为上面好像有文章的编号
赞
一下
回复此楼
7楼
2014-06-20 11:34:58
已阅
回复此楼
关注TA
给TA发消息
送TA红花
TA的回帖
相关版块跳转
论文投稿
SCI期刊点评
中文期刊点评
论文道贺祈福
论文翻译
基金申请
学术会议
会议与征稿布告栏
我要订阅楼主
tanzhijian
的主题更新
7
1/1
返回列表
如果回帖内容含有宣传信息,请如实选中。否则帐号将被全论坛禁言
普通表情
龙
兔
虎
猫
高级回复
(可上传附件)
百度网盘
|
360云盘
|
千易网盘
|
华为网盘
在新窗口页面中打开自己喜欢的网盘网站,将文件上传后,然后将下载链接复制到帖子内容中就可以了。
信息提示
关闭
请填处理意见
关闭
确定