版块导航
正在加载中...
客户端APP下载
论文辅导
申博辅导
登录
注册
帖子
帖子
用户
本版
应《网络安全法》要求,自2017年10月1日起,未进行实名认证将不得使用互联网跟帖服务。为保障您的帐号能够正常使用,请尽快对帐号进行手机号验证,感谢您的理解与支持!
24小时热门版块排行榜
>
论坛更新日志
(3206)
>
虫友互识
(592)
>
导师招生
(181)
>
文献求助
(172)
>
休闲灌水
(89)
>
硕博家园
(84)
>
考博
(42)
>
博后之家
(39)
>
基金申请
(31)
>
论文投稿
(30)
>
找工作
(27)
>
公派出国
(25)
>
招聘信息布告栏
(24)
>
教师之家
(24)
>
考研
(22)
>
论文道贺祈福
(20)
小木虫论坛-学术科研互动平台
»
网络生活区
»
有奖问答
»
有奖问答完结子版
»
复杂药物的化学结构式如何画??
4
1/1
返回列表
查看: 1426 | 回复: 3
只看楼主
@他人
存档
新回复提醒
(忽略)
收藏
在APP中查看
本帖产生 1 个 博学EPI ,点击这里进行查看
静水8078
木虫
(著名写手)
博学EPI: 2
应助: 0
(幼儿园)
金币: 1553
帖子: 1067
在线: 128.9小时
虫号: 585893
[交流]
复杂药物的化学结构式如何画??
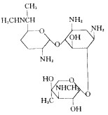
如题。比如下面的庆大霉素怎么画???简单一点的方法!谢谢了!
回复此楼
» 猜你喜欢
有院领导为了换新车,用横向课题经费买了俩车
已经有9人回复
酰胺脱乙酰基
已经有13人回复
博士延得我,科研能力直往上蹿
已经有8人回复
同年申请2项不同项目,第1个项目里不写第2个项目的信息,可以吗
已经有4人回复
有时候真觉得大城市人没有县城人甚至个体户幸福
已经有10人回复
天津大学招2026.09的博士生,欢迎大家推荐交流(博导是本人)
已经有5人回复
CSC & MSCA 博洛尼亚大学能源材料课题组博士/博士后招生|MSCA经费充足、排名优
已经有6人回复
面上项目申报
已经有3人回复
遇见不省心的家人很难过
已经有22人回复
高级回复
» 本主题相关价值贴推荐,对您同样有帮助:
大连理工 物理有机化学 教案
已经有184人回复
药物化学相关药物母核大全
已经有169人回复
当代有机氟化学--合成反应应用实验【转载】
已经有189人回复
药物化学那些复杂的药物结构式你们都是怎么记的啊
已经有4人回复
如何记忆药物的结构式?
已经有18人回复
转录组研究前沿
已经有21人回复
【原创】自己整理的头孢唑肟钠的资料
已经有5人回复
【分享】化学合成药物的工艺研究
已经有26人回复
【求助】求助各位药化高手:药物结构式如何记忆?
已经有30人回复
【索引】神经科学站点汇粹
已经有6人回复
» 抢金币啦!回帖就可以得到:
查看全部散金贴
坐标广州,征女友
+
2
/126
Postdoctoral Research Fellow Position in Causal Inference Weill CorneIl Medicine
+
1
/92
江西理工大学联合中国科学院赣江创新研究院招收2026级博士研究生
+
1
/87
威格焊接手套箱:稳定惰性环境,实现节能降本
+
1
/84
黄汉民团队联合淮北师范大学招聘师资博士后(年薪30-40万)
+
1
/83
中国科学院深圳先进技术研究院——招聘博士后
+
2
/38
香港城市大学软物质课题组现招收博士研究生 2026.09 入学
+
1
/33
西交利物浦大学招收26年【全奖】博士生1名(空间智能沉浸式手术导航)
+
1
/28
中南林业科技大学生物质绿色转化与功能材料课题组2026年博士招生
+
1
/12
南京医科大学国家级高层次青年人才团队招收博士研究生
+
1
/11
中科院深圳先进院-免疫治疗方向-招收1名博士生(26年9月入学)
+
1
/10
中科院深圳先进院-免疫治疗方向-招收1名博士生(26年9月入学)
+
1
/10
太原理工大学集成电路学院院长团队招收2026年博士研究生
+
1
/10
【科研助理招聘-北京理工大学-集成电路与电子学院-国家杰青团队】
+
1
/8
哈工大(深圳)物理招收2026年9月入学博士生1个名额
+
1
/4
美国密苏里大学“柔性电子”课题组诚招博士研究生
+
1
/4
澳科大招收2026年秋季入学生物材料方向全奖博士研究生(3月5日截止)
+
1
/3
江汉大学轩亮教授课题组招博士研究生/博士后
+
1
/3
美国密苏里大学“柔性电子”课题组诚招博士研究生
+
1
/3
国家杰青低维材料与器件力学团队2026年招收博士研究生
+
1
/2
1楼
2011-03-09 08:38:01
已阅
回复此楼
关注TA
给TA发消息
送TA红花
TA的回帖
liwhite
铁杆木虫
(著名写手)
博学EPI: 259
应助: 5
(幼儿园)
金币: 7124.6
帖子: 1499
在线: 239.9小时
虫号: 300476
静水8078(金币+4): 谢谢了! 2011-03-09 22:09:45
查到该药物的IUPAC命名,然后在chemdraw上输入该命名,选中后shift+ctrl+N
赞
一下
回复此楼
2楼
2011-03-09 10:08:57
已阅
回复此楼
关注TA
给TA发消息
送TA红花
TA的回帖
sanghongyuan
木虫
(正式写手)
博学EPI: 65
应助: 0
(幼儿园)
金币: 1928.7
帖子: 828
在线: 29.1小时
虫号: 504240
静水8078(金币+3, 博学EPI+1): 谢谢了! 2011-03-09 22:09:33
用chemioffice 中的chemdraw。只要你有功夫,再复杂的叶能话。楼上的方法只适用于数据库中有的。但是我们都不是正版。用不了这功能。只能画。
赞
一下
回复此楼
3楼
2011-03-09 19:16:46
已阅
回复此楼
关注TA
给TA发消息
送TA红花
TA的回帖
沧海孤泪
金虫
(著名写手)
应助: 0
(幼儿园)
金币: 1396
帖子: 1366
在线: 57.7小时
虫号: 707858
静水8078(金币+3): 谢谢了! 2011-03-09 22:09:54
chemdraw和ChemSketch都是很好的画图软件,你从网上下一个就可以了
赞
一下
回复此楼
4楼
2011-03-09 19:37:44
已阅
回复此楼
关注TA
给TA发消息
送TA红花
TA的回帖
相关版块跳转
有奖问答中转子版
有奖问答完结子版
我要订阅楼主
静水8078
的主题更新
4
1/1
返回列表
如果回帖内容含有宣传信息,请如实选中。否则帐号将被全论坛禁言
普通表情
龙
兔
虎
猫
高级回复
(可上传附件)
百度网盘
|
360云盘
|
千易网盘
|
华为网盘
在新窗口页面中打开自己喜欢的网盘网站,将文件上传后,然后将下载链接复制到帖子内容中就可以了。
信息提示
关闭
请填处理意见
关闭
确定