版块导航
正在加载中...
客户端APP下载
论文辅导
调剂小程序
登录
注册
帖子
帖子
用户
本版
应《网络安全法》要求,自2017年10月1日起,未进行实名认证将不得使用互联网跟帖服务。为保障您的帐号能够正常使用,请尽快对帐号进行手机号验证,感谢您的理解与支持!
24小时热门版块排行榜
>
论坛更新日志
(2349)
>
虫友互识
(401)
>
基金申请
(78)
>
休闲灌水
(76)
>
论文投稿
(53)
>
博后之家
(39)
>
文献求助
(34)
>
导师招生
(31)
>
硕博家园
(21)
>
考博
(13)
>
教师之家
(9)
>
药学
(9)
>
考研
(9)
>
公派出国
(7)
>
招聘信息布告栏
(4)
>
论文道贺祈福
(3)
小木虫论坛-学术科研互动平台
»
专业学科区
»
数学
»
概率论与统计
»
【求助】一数理统计题
4
1/1
返回列表
查看: 340 | 回复: 3
只看楼主
@他人
存档
新回复提醒
(忽略)
收藏
在APP中查看
shmily8865
木虫
(小有名气)
应助: 0
(幼儿园)
金币: 2344.8
帖子: 166
在线: 146.7小时
虫号: 645449
[交流]
【求助】一数理统计题
设总体X服从二项分布b(1,P),0
回复此楼
» 猜你喜欢
基金正文30页指的是报告正文还是整个申请书
已经有5人回复
情人节自我反思:在爱情中有过遗憾吗?
已经有6人回复
今年春晚有几个节目很不错,点赞!
已经有6人回复
球磨粉体时遇到了大的问题,请指教!
已经有15人回复
过年走亲戚时感受到了所开私家车的鄙视链
已经有5人回复
江汉大学解明教授课题组招博士研究生/博士后
已经有3人回复
高级回复
» 本主题相关价值贴推荐,对您同样有帮助:
【求助】中科院大气所的考过概率论和数理统计的求教
已经有1人回复
» 抢金币啦!回帖就可以得到:
查看全部散金贴
坐标广州,征女友
+
2
/142
天津科技大学海洋与环境学院殷焕顺团队招博士生1名---分析化学领域
+
1
/83
一个陌生女人的来信
+
1
/62
上海理工大学2026年系统科学学科海外骨干教师招聘启事
+
2
/40
国家级青年人才课题组招收2026级硕士研究生
+
1
/30
代朋友发 88公务员诚征男友
+
1
/21
英国布里斯托大学诚招博士生,博士后和联合培养生
+
1
/19
2026年天津科技大学“新能源催化与膜材料团队”研究生招生
+
1
/18
上海交通大学-宁波东方理工大学联合培养博士生
+
1
/10
墨尔本大学(QS13)招全奖博士、CSC资助博士/访问学者(生物医学材料/器官芯片等方向)
+
1
/7
湖南大学-分析检测技术和生物柔性传感器-招收1名博士研究生 (2026年,第二批)
+
1
/7
全奖博士 英国利物浦大学+台湾清华大学 双博士学位
+
1
/6
澳科大招收2026年秋季药物递送/生物材料方向硕士研究生(3月5日18:00报名截止)
+
1
/5
怎么发布了求助贴了, 一发就转到删除栏了
+
1
/5
墨尔本大学(QS13)急招CSC博士(补齐全奖)/访问学者/博士后 (材料/生物医学/器官芯片等)
+
1
/5
德国图宾根大学诚招全奖岗位制博士(地下流固化学反应耦合数值模拟方向)
+
1
/3
墨尔本大学(QS13)急招CSC博士(补齐全奖)/访问学者/博士后(生物医学材料/器官芯片)
+
1
/3
中科大国家级青年人才招聘(材料与化学方向)博士后与特任副研究员
+
1
/3
南京大学能源与资源学院徐加陵课题组招聘:科研助理、硕士生、博士生
+
1
/3
国内树枝状聚合物现在进入量产了吗?
+
1
/1
1楼
2011-03-07 10:05:59
已阅
回复此楼
关注TA
给TA发消息
送TA红花
TA的回帖
hill008
金虫
(正式写手)
数学EPI: 1
应助: 8
(幼儿园)
金币: 2560.6
帖子: 613
在线: 734.4小时
虫号: 957255
引用回帖:
Originally posted by
shmily8865
at 2011-03-07 10:05:59:
设总体X服从二项分布b(1,P),0<P<1,X1,X2,X3是来自该总体的一个样本,请分别构造参数P和P^2(表示P的平方)的一个无偏估计量?跪谢!
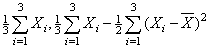
分别为
赞
一下
回复此楼
2楼
2011-03-08 23:01:42
已阅
回复此楼
关注TA
给TA发消息
送TA红花
TA的回帖
shmily8865
木虫
(小有名气)
应助: 0
(幼儿园)
金币: 2344.8
帖子: 166
在线: 146.7小时
虫号: 645449
引用回帖:
Originally posted by
hill008
at 2011-03-08 23:01:42:
分别为
麻烦你能否把过程补上,我水平有限,不知是怎么来的。谢谢你!
赞
一下
回复此楼
3楼
2011-03-09 10:45:49
已阅
回复此楼
关注TA
给TA发消息
送TA红花
TA的回帖
hill008
金虫
(正式写手)
数学EPI: 1
应助: 8
(幼儿园)
金币: 2560.6
帖子: 613
在线: 734.4小时
虫号: 957255
shmily8865(金币+10): 谢谢 2011-03-09 13:54:49
因EX=p,所以可用样本均值估计p.
由DX=p-p^2得,p^2=p-DX,把p和DX的无偏估计量代进去即可,至于
DX的无偏估计是什么,自己查书去吧。
赞
一下
回复此楼
4楼
2011-03-09 11:35:26
已阅
回复此楼
关注TA
给TA发消息
送TA红花
TA的回帖
相关版块跳转
数理科学综合
机械
物理
数学
农林
食品
地学
能源
信息科学
土木建筑
航空航天
转基因
我要订阅楼主
shmily8865
的主题更新
4
1/1
返回列表
如果回帖内容含有宣传信息,请如实选中。否则帐号将被全论坛禁言
普通表情
龙
兔
虎
猫
高级回复
(可上传附件)
百度网盘
|
360云盘
|
千易网盘
|
华为网盘
在新窗口页面中打开自己喜欢的网盘网站,将文件上传后,然后将下载链接复制到帖子内容中就可以了。
信息提示
关闭
请填处理意见
关闭
确定