²é¿´: 1379  |  »Ø¸´: 6

gfunction

ľ³æ (СÓÐÃûÆø)


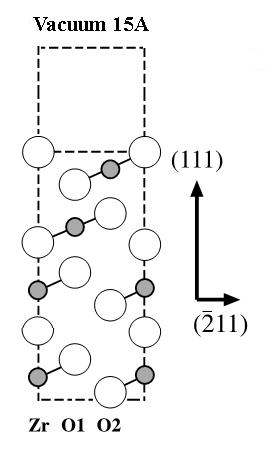
[½»Á÷] ¡¾ÇóÖú³É¹¦¡¿Á¢·½¶þÑõ»¯ï¯£¨cubic ZrO2£©111ÃæµÄdatabase

±¾ÈËÐÂÊÖ£¬Çë½Ì´ó¼Ò Supercell 1*1*12    vaccum layer 15A  
³¬Ô­°ûÀïÃæËùÓеÄÔ­×Ó×ø±êÔõôË㣿
ÊÇ·ñÓÐÏֳɵĿÉÒÔÏÂÔØ£¿

лл´ó¼Ò£¡


[ Last edited by gfunction on 2011-2-18 at 16:32 ]
»Ø¸´´ËÂ¥

» ²ÂÄãϲ»¶

» ±¾Ö÷ÌâÏà¹Ø¼ÛÖµÌùÍÆ¼ö£¬¶ÔÄúͬÑùÓаïÖú:

» ÇÀ½ð±ÒÀ²£¡»ØÌû¾Í¿ÉÒԵõ½:

²é¿´È«²¿É¢½ðÌù

ÒÑÔÄ   »Ø¸´´ËÂ¥   ¹Ø×¢TA ¸øTA·¢ÏûÏ¢ ËÍTAºì»¨ TAµÄ»ØÌû

gfunction

ľ³æ (СÓÐÃûÆø)


×Ô¼º¶¥¡£
´ó¼Ò¶¼À´¿´¿´°¡£¡
2Â¥2011-02-16 14:53:16
ÒÑÔÄ   »Ø¸´´ËÂ¥   ¹Ø×¢TA ¸øTA·¢ÏûÏ¢ ËÍTAºì»¨ TAµÄ»ØÌû

bingmou

½ð³æ (ÖøÃûдÊÖ)


¡ï
zzy870720z(½ð±Ò+1): лл½¨Òé 2011-02-16 21:57:28
gfunction(½ð±Ò+10): 2011-02-17 09:59:25
ÎÒ½¨ÒéÄã×Ô¼ºËãË㣬»á¸ü¿ìÒ»µã
3Â¥2011-02-16 15:22:05
ÒÑÔÄ   »Ø¸´´ËÂ¥   ¹Ø×¢TA ¸øTA·¢ÏûÏ¢ ËÍTAºì»¨ TAµÄ»ØÌû
¡ï
bingmou(½ð±Ò+1): ¸Ðлָ³ö 2011-02-16 16:17:37
gfunction(½ð±Ò+10): 2011-02-17 09:59:40
MSµÄ½á¹¹¿âÖÐÓÐÏֳɵġ£
4Â¥2011-02-16 16:06:50
ÒÑÔÄ   »Ø¸´´ËÂ¥   ¹Ø×¢TA ¸øTA·¢ÏûÏ¢ ËÍTAºì»¨ TAµÄ»ØÌû

ahehyh

ľ³æ (ÕýʽдÊÖ)


¡ï ¡ï
zzy870720z(½ð±Ò+2): ллָ½Ì 2011-02-17 08:57:07
gfunction(½ð±Ò+10): 2011-02-17 09:59:55
ZrO2¡ªCubic¾§°û£¬MSÖе쬳¬¾§°û×Ô¼º¿ÉÒÔ½¨¡£
5Â¥2011-02-16 23:01:42
ÒÑÔÄ   »Ø¸´´ËÂ¥   ¹Ø×¢TA ¸øTA·¢ÏûÏ¢ ËÍTAºì»¨ TAµÄ»ØÌû

gfunction

ľ³æ (СÓÐÃûÆø)


¡ï
zzy870720z(½ð±Ò+1): лл×ܽᣬ°Ñ±êÌ⡾ÇóÖú¡¿ÐÞ¸ÄΪ¡¾ÇóÖú³É¹¦¡¿ºó¹é»¹½ð±Ò£¬Ð»Ð»ºÏ×÷ 2011-02-18 14:48:03
лл´ó¼Ò
ÎÒÓõĵÚÒ»ÐÔÔ­ÀíÈí¼þºÍ´ó¼Ò¶¼²»Ò»Ñù
×îºó»¹ÊÇ×Ô¼ºÏÈ×ö³ö111Ãæ È»ºóµ¼³ö×ø±ê Ôٱ任zÖá ×ö³öÀ´ÁË

²»ÖªÃ»ÓÃÍêµÄ½ð±ÒÄÜ·ñÍË»Ø

[ Last edited by gfunction on 2011-2-18 at 11:53 ]
6Â¥2011-02-18 11:51:04
ÒÑÔÄ   »Ø¸´´ËÂ¥   ¹Ø×¢TA ¸øTA·¢ÏûÏ¢ ËÍTAºì»¨ TAµÄ»ØÌû

ll385113236

гæ (³õÈëÎÄ̳)


¡ï
Сľ³æ: ½ð±Ò+0.5, ¸ø¸öºì°ü£¬Ð»Ð»»ØÌû
ÒýÓûØÌû:
6Â¥: Originally posted by gfunction at 2011-02-18 11:51:04
лл´ó¼Ò
ÎÒÓõĵÚÒ»ÐÔÔ­ÀíÈí¼þºÍ´ó¼Ò¶¼²»Ò»Ñù
×îºó»¹ÊÇ×Ô¼ºÏÈ×ö³ö111Ãæ È»ºóµ¼³ö×ø±ê Ôٱ任zÖá ×ö³öÀ´ÁË

²»ÖªÃ»ÓÃÍêµÄ½ð±ÒÄÜ·ñÍË»Ø

Äã×öµÄ111ÃæÊÇʲôÑù×ӵģ¿¿É²»¿ÉÒÔÈÃÎÒ¿´¿´£¬ÎÒÒ²×öÁËÒ»¸ö£¬µ«ÊDz»ÖªµÀ¶Ô²»¶Ô¡£
7Â¥2015-05-27 10:15:21
ÒÑÔÄ   »Ø¸´´ËÂ¥   ¹Ø×¢TA ¸øTA·¢ÏûÏ¢ ËÍTAºì»¨ TAµÄ»ØÌû
Ïà¹Ø°æ¿éÌø×ª ÎÒÒª¶©ÔÄÂ¥Ö÷ gfunction µÄÖ÷Ìâ¸üÐÂ
×î¾ßÈËÆøÈÈÌûÍÆ¼ö [²é¿´È«²¿] ×÷Õß »Ø/¿´ ×îºó·¢±í
[¿¼ÑÐ] Ò»Ö¾Ô¸±±¾©»¯¹¤´óѧ 070300 ѧ˶ 336·Ö Çóµ÷¼Á +5 vvÃÔ 2026-03-22 5/250 2026-03-23 07:36 by Iveryant
[¿¼ÑÐ] 280·ÖÇóµ÷¼Á Ò»Ö¾Ô¸085802 +4 PUMPT 2026-03-22 7/350 2026-03-22 22:13 by ÐÇ¿ÕÐÇÔÂ
[¿¼ÑÐ] 311Çóµ÷¼Á +6 ¶¬Ê®Èý 2026-03-18 6/300 2026-03-22 20:18 by edmund7
[¿¼ÑÐ] Çóµ÷¼Á +6 Ê®Èý¼ÓÓÍ 2026-03-21 6/300 2026-03-22 17:00 by i_cooler
[¿¼ÑÐ] 286Çóµ÷¼Á +10 Faune 2026-03-21 10/500 2026-03-21 23:34 by 314126402
[¿¼ÑÐ] ×ÊÔ´Óë»·¾³ µ÷¼ÁÉêÇë(333·Ö) +5 holy J 2026-03-21 5/250 2026-03-21 22:42 by Catalysis25
[¿¼ÑÐ] 332Çóµ÷¼Á +3 ·ï»ËÔº¶¡Õæ 2026-03-20 3/150 2026-03-21 10:27 by luoyongfeng
[¿¼ÑÐ] »úеר˶299Çóµ÷¼ÁÖÁ²ÄÁÏ +3 kkcoco25 2026-03-16 4/200 2026-03-21 03:52 by JourneyLucky
[¿¼ÑÐ] ÄϾ©´óѧ»¯Ñ§376Çóµ÷¼Á +3 hisfailed 2026-03-19 6/300 2026-03-20 23:43 by hisfailed
[¿¼ÑÐ] ¿¼Ñе÷¼ÁÇóÑ§Ð£ÍÆ¼ö +3 ²®ÀÖ29 2026-03-18 5/250 2026-03-20 22:59 by JourneyLucky
[¿¼ÑÐ] Ò»Ö¾Ô¸ËÕÖÝ´óѧ²ÄÁÏÇóµ÷¼Á£¬×Ü·Ö315£¨Ó¢Ò»£© +5 sbdksD 2026-03-19 5/250 2026-03-20 22:10 by luoyongfeng
[¿¼ÑÐ] 350Çóµ÷¼Á +5 weudhdk 2026-03-19 5/250 2026-03-20 22:04 by luoyongfeng
[¿¼ÑÐ] 0817 »¯Ñ§¹¤³Ì 299·ÖÇóµ÷¼Á ÓпÆÑо­Àú ÓжþÇøÎÄÕ +22 rare12345 2026-03-18 22/1100 2026-03-20 20:39 by zhukairuo
[¿¼ÑÐ] 353Çóµ÷¼Á +3 À­¹³²»Ðí±ä 2026-03-20 3/150 2026-03-20 19:56 by JourneyLucky
[¿¼ÑÐ] Ò»Ö¾Ô¸ÄÏÀí¹¤085701»·¾³302Çóµ÷¼ÁԺУ +3 ¿ûè÷ÎÀ¶Ó 2026-03-20 3/150 2026-03-20 19:28 by zhukairuo
[¿¼ÑÐ] Çóµ÷¼Á +3 °µÓ¿afhb 2026-03-16 3/150 2026-03-20 00:28 by ºÓÄÏ´óѧУÓÑ
[¿¼ÑÐ] 085601²ÄÁϹ¤³Ìר˶Çóµ÷¼Á +10 Ľº®mio 2026-03-16 10/500 2026-03-19 15:26 by ¶¡¶¡*
[¿¼ÑÐ] Ò»Ö¾Ô¸¸£´ó288Óлú»¯Ñ§£¬Çóµ÷¼Á +3 Сľ³æ200408204 2026-03-18 3/150 2026-03-19 13:31 by houyaoxu
[¿¼ÑÐ] ÓÐûÓеÀÌú/ÍÁľµÄÏëµ÷¼ÁÄÏÁÖ£¬¸ø×Ô¼ºÕÐʦµÜÖС« +3 TqlXswl 2026-03-16 7/350 2026-03-17 15:23 by TqlXswl
[¿¼ÑÐ] 283Çóµ÷¼Á +3 Ìý·ç¾ÍÊÇÓꣻ 2026-03-16 3/150 2026-03-17 07:41 by ÈÈÇéɳĮ
ÐÅÏ¢Ìáʾ
ÇëÌî´¦ÀíÒâ¼û