| 查看: 584 | 回复: 6 | |||
tiger530铜虫 (正式写手)
|
[交流]
【求助】氯贝丁酯 已有3人参与
|
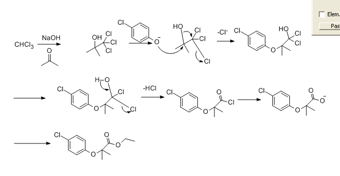
| 求氯贝丁酯合成的反应机理 |
» 猜你喜欢
288求调剂 一志愿哈工大 材料与化工
已经有31人回复
一志愿北京科技大学085601材料工程英一数二初试总分335求调剂
已经有5人回复
085801 总分275 本科新能源 求调剂
已经有17人回复
324求调剂
已经有6人回复
学硕化学工程与技术,一志愿中国海洋大学320+求调剂
已经有7人回复
材料调剂
已经有5人回复
初试301,代码085701环境工程,本硕一致,四六级已过,有二区一作,共发表5篇论文
已经有6人回复
化学308分调剂
已经有15人回复
346求调剂
已经有3人回复
环境285分,过六级,求调剂
已经有6人回复
2楼2011-02-13 21:26:31
wangyeliu
木虫 (著名写手)
- 应助: 0 (幼儿园)
- 金币: 1814.8
- 帖子: 1207
- 在线: 88小时
- 虫号: 1103674
- 注册: 2010-09-20
- 性别: GG
- 专业: 药物化学
3楼2011-02-13 22:14:30
tiger530
铜虫 (正式写手)
- 应助: 0 (幼儿园)
- 金币: 1128.7
- 散金: 29
- 红花: 1
- 帖子: 462
- 在线: 201.3小时
- 虫号: 515777
- 注册: 2008-03-01
- 性别: GG
- 专业: 药剂学
4楼2011-02-14 10:08:03
wangyeliu
木虫 (著名写手)
- 应助: 0 (幼儿园)
- 金币: 1814.8
- 帖子: 1207
- 在线: 88小时
- 虫号: 1103674
- 注册: 2010-09-20
- 性别: GG
- 专业: 药物化学
5楼2011-02-14 12:17:05
tiger530
铜虫 (正式写手)
- 应助: 0 (幼儿园)
- 金币: 1128.7
- 散金: 29
- 红花: 1
- 帖子: 462
- 在线: 201.3小时
- 虫号: 515777
- 注册: 2008-03-01
- 性别: GG
- 专业: 药剂学
6楼2011-02-15 10:38:10
tiger530
铜虫 (正式写手)
- 应助: 0 (幼儿园)
- 金币: 1128.7
- 散金: 29
- 红花: 1
- 帖子: 462
- 在线: 201.3小时
- 虫号: 515777
- 注册: 2008-03-01
- 性别: GG
- 专业: 药剂学
7楼2011-02-15 11:26:13














回复此楼