±±¾©Ê¯ÓÍ»¯¹¤Ñ§Ôº2026ÄêÑо¿ÉúÕÐÉú½ÓÊÕµ÷¼Á¹«¸æ
²é¿´: 529  |  »Ø¸´: 4

yanwei123456

Ìú¸Ëľ³æ (ÕýʽдÊÖ)


[½»Á÷] ¡¾ÇóÖú¡¿ÓÐÒ»¼«ÏÞµÄÌâʵÔÚ²»»áÁË£¬Ñ¯ÎÊÅ£ÈË

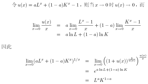
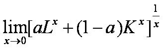
ÆäÖÐa,L,K¶¼Êdz£Êý£¬·­Á˺ÃЩÊéҲûÕÒ³ö£¬Ð»Ð»´ó¼ÒÁË£¡Ë³×£´ó¼ÒÐÂÄê¿ìÀÖ£¡
»Ø¸´´ËÂ¥

» ²ÂÄãϲ»¶

» ÇÀ½ð±ÒÀ²£¡»ØÌû¾Í¿ÉÒԵõ½:

²é¿´È«²¿É¢½ðÌù

ÒÑÔÄ   »Ø¸´´ËÂ¥   ¹Ø×¢TA ¸øTA·¢ÏûÏ¢ ËÍTAºì»¨ TAµÄ»ØÌû
¡ï
yanwei123456(½ð±Ò+1):лл²ÎÓë
yanwei123456(½ð±Ò+9): 2011-01-31 15:52:22
2Â¥2011-01-31 15:51:42
ÒÑÔÄ   »Ø¸´´ËÂ¥   ¹Ø×¢TA ¸øTA·¢ÏûÏ¢ ËÍTAºì»¨ TAµÄ»ØÌû

yanwei123456

Ìú¸Ëľ³æ (ÕýʽдÊÖ)


ÔÙÎÊÒ»ÏÂÂ¥Éϵģ¬Èç¹ûxÇ÷½üÓÚ¸ºÎÞÇîÄØ£¿Ð»Ð»£¡
3Â¥2011-01-31 16:05:40
ÒÑÔÄ   »Ø¸´´ËÂ¥   ¹Ø×¢TA ¸øTA·¢ÏûÏ¢ ËÍTAºì»¨ TAµÄ»ØÌû
¡ï
Сľ³æ(½ð±Ò+0.5):¸ø¸öºì°ü£¬Ð»Ð»»ØÌû½»Á÷
4Â¥2011-01-31 16:47:49
ÒÑÔÄ   »Ø¸´´ËÂ¥   ¹Ø×¢TA ¸øTA·¢ÏûÏ¢ ËÍTAºì»¨ TAµÄ»ØÌû

shiweidong12

ľ³æ (ÕýʽдÊÖ)


¡ï
Сľ³æ(½ð±Ò+0.5):¸ø¸öºì°ü£¬Ð»Ð»»ØÌû
¶Ô»ý·ÖÏîÈ¡×ÔÈ»¶ÔÊý£¬¶Ô´¦ÀíµÃµ½ÏîÔËÓÃÂÞ±ØËþ·¨ÔòÈ¡¼«ÏÞ£¬È»ºó»¹Ô­»ØÈ¥¾Í¿ÉÒÔÁË¡£
5Â¥2011-05-14 19:30:34
ÒÑÔÄ   »Ø¸´´ËÂ¥   ¹Ø×¢TA ¸øTA·¢ÏûÏ¢ ËÍTAºì»¨ TAµÄ»ØÌû
Ïà¹Ø°æ¿éÌø×ª ÎÒÒª¶©ÔÄÂ¥Ö÷ yanwei123456 µÄÖ÷Ìâ¸üÐÂ
×î¾ßÈËÆøÈÈÌûÍÆ¼ö [²é¿´È«²¿] ×÷Õß »Ø/¿´ ×îºó·¢±í
[˶²©¼ÒÔ°] ÕÐÊÕÉúÎïѧ/ϸ°ûÉúÎïѧµ÷¼Á +4 IceGuo 2026-03-26 5/250 2026-03-29 01:25 by griffith2014
[˶²©¼ÒÔ°] Çóµ÷¼Á Óлú»¯Ñ§¿¼ÑÐ356·Ö +3 Nadiums 2026-03-25 4/200 2026-03-29 00:50 by 544594351
[¿¼ÑÐ] 0703 »¯Ñ§ Çóµ÷¼Á£¬Ò»Ö¾Ô¸É½¶«´óѧ 342 ·Ö +4 Shern¡ª- 2026-03-28 4/200 2026-03-29 00:47 by 544594351
[¿¼ÑÐ] 22408 359·Öµ÷¼Á +4 Qshers 2026-03-27 5/250 2026-03-28 21:26 by zhq0425
[¿¼ÑÐ] 0856²ÄÁÏ»¯¹¤µ÷¼Á ×Ü·Ö330 +11 zhubinhao 2026-03-27 11/550 2026-03-28 20:22 by 418490947
[¿¼ÑÐ] 295²ÄÁϹ¤³Ìר˶Çóµ÷¼Á +7 1428151015 2026-03-27 7/350 2026-03-28 19:58 by S240
[¿¼ÑÐ] ѹ¹ú¼ÒÒ»ÇøÏߣ¬Çóµ¼Ê¦ÊÕÁô£¬Óж÷±ØÐ»£¡ +7 ÃÔÈ˵Ĺþ¹þ 2026-03-28 7/350 2026-03-28 16:47 by ´ß»¯´ó°×
[¿¼ÑÐ] µ÷¼Á +3 ºÃºÃ¶ÁÊé¡£ 2026-03-28 3/150 2026-03-28 12:04 by Íõ±£½Ü33
[¿¼ÑÐ] 085602 307·Ö Çóµ÷¼Á +7 ²»ÖªµÀ½Ðʲô£¡ 2026-03-26 7/350 2026-03-28 09:57 by ÉñÂí¶¼²»¶®
[¿¼ÑÐ] 292Çóµ÷¼Á +14 ¶ì¶ì¶ì¶î¶î¶î¶î¶ 2026-03-25 15/750 2026-03-28 08:45 by WYUMater
[¿¼ÑÐ] ÕÅ·¼Ãú-Öйúũҵ´óѧ-»·¾³¹¤³Ìר˶-298 +4 ÊÖ»úÓû§ 2026-03-26 4/200 2026-03-28 07:17 by mmm just
[¿¼ÑÐ] Ò»Ö¾Ô¸ÄÏʦ´ó0703»¯Ñ§ 275Çóµ÷¼Á +4 RipcordÉϰ¶ 2026-03-27 4/200 2026-03-27 17:00 by zhyzzh
[¿¼ÑÐ] 348Çóµ÷¼Á +4 СÀÁ³æ²»ÀÁÁË 2026-03-27 5/250 2026-03-27 12:47 by ¹û¹ûÂèßä
[¿¼ÑÐ] ²ÄÁÏ¿¼ÑÐÇóµ÷¼Á +3 Dendel 2026-03-23 6/300 2026-03-26 17:51 by fmesaito
[¿¼ÑÐ] 309Çóµ÷¼Á +4 gajsj 2026-03-25 5/250 2026-03-26 00:27 by Dyhoer
[¿¼ÑÐ] 282Çóµ÷¼Á +3 wcq131415 2026-03-24 3/150 2026-03-25 12:16 by userper
[¿¼ÑÐ] BÇø¿¼Ñе÷¼Á +4 yqdszhdap£­ 2026-03-22 5/250 2026-03-25 08:51 by baoball
[¿¼ÑÐ] 341Çóµ÷¼Á(Ò»Ö¾Ô¸ºþÄÏ´óѧ070300) +5 ·¬ÇÑÍ·--- 2026-03-22 6/300 2026-03-23 23:45 by Txy@872106
[¿¼ÑÐ] 336»¯¹¤µ÷¼Á +4 Íõ´ó̹1 2026-03-23 5/250 2026-03-23 18:32 by allen-yin
[¿¼ÑÐ] 275Çóµ÷¼Á +6 shansx 2026-03-22 8/400 2026-03-22 15:27 by barlinike
ÐÅÏ¢Ìáʾ
ÇëÌî´¦ÀíÒâ¼û