| ²é¿´: 429 | »Ø¸´: 5 | |||
óÝóÝÈÕÉÏÒø³æ (ÖøÃûдÊÖ)
|
[½»Á÷]
¡¾ÇóÖú¡¿°ïÎÒ½âһϰÉ~ ÒÑÓÐ3È˲ÎÓë
|
|
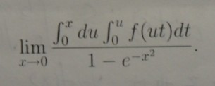
²»ºÃÒâ˼£¬ÎʸöÊýѧ»ý·ÖÎÊÌâ f(x)ÔÚ¡¾-1£¬1¡¿ÄÚÁ¬Ðø£¬f(0)=-3,Ç󣺼ûͼƬ£¬×îºÃ×öÁËÅĸøÎÒÒ²´«Í¼Æ¬°É£¬ÆäËû·½Ê½Ò²¿ÉÒÔ~(*^__^*) ÎûÎû¡¡ |
» ²ÂÄãϲ»¶
309Çóµ÷¼Á
ÒѾÓÐ3È˻ظ´
070300»¯Ñ§354Çóµ÷¼Á
ÒѾÓÐ4È˻ظ´
330·ÖÇóµ÷¼Á
ÒѾÓÐ3È˻ظ´
299Çóµ÷¼Á
ÒѾÓÐ8È˻ظ´
Ò»Ö¾Ô¸±±¾©Àí¹¤´óѧ±¾¿Æ211²ÄÁϹ¤³Ì294Çóµ÷¼Á
ÒѾÓÐ6È˻ظ´
300Çóµ÷¼Á£¬²ÄÁÏ¿ÆÑ§Ó¢Ò»Êý¶þ
ÒѾÓÐ8È˻ظ´
ÕÐÊÕÉúÎïѧ/ϸ°ûÉúÎïѧµ÷¼Á
ÒѾÓÐ5È˻ظ´
070305¸ß·Ö×Ó»¯Ñ§ÓëÎïÀí 304·ÖÇóµ÷¼Á
ÒѾÓÐ7È˻ظ´
289Çóµ÷¼Á
ÒѾÓÐ13È˻ظ´
Ò»Ö¾Ô¸¹þ¶û±õ¹¤Òµ´óѧ²ÄÁÏÓ뻯¹¤·½Ïò336·Ö
ÒѾÓÐ9È˻ظ´
Pchief
Ìú¸Ëľ³æ (ÕýʽдÊÖ)
- ÊýѧEPI: 26
- Ó¦Öú: 13 (СѧÉú)
- ¹ó±ö: 0.024
- ½ð±Ò: 10833.4
- ºì»¨: 36
- Ìû×Ó: 987
- ÔÚÏß: 1992.9Сʱ
- ³æºÅ: 52235
- ×¢²á: 2004-09-04
- רҵ: ·ºº¯·ÖÎö
2Â¥2011-01-24 19:19:19
óÝóÝÈÕÉÏ
Òø³æ (ÖøÃûдÊÖ)
- ÊýѧEPI: 1
- Ó¦Öú: 1 (Ó×¶ùÔ°)
- ½ð±Ò: 366.8
- É¢½ð: 1542
- ºì»¨: 7
- ɳ·¢: 5
- Ìû×Ó: 1041
- ÔÚÏß: 234.3Сʱ
- ³æºÅ: 1094132
- ×¢²á: 2010-09-09
- ÐÔ±ð: MM
- רҵ: ÊýÀíͳ¼Æ
3Â¥2011-01-24 20:30:53
hebtukj
½ð³æ (СÓÐÃûÆø)
- Ó¦Öú: 2 (Ó×¶ùÔ°)
- ½ð±Ò: 998.1
- É¢½ð: 60
- Ìû×Ó: 277
- ÔÚÏß: 96Сʱ
- ³æºÅ: 1175239
- ×¢²á: 2010-12-22
- רҵ: ·ºº¯·ÖÎö
4Â¥2011-01-24 22:03:10
óÝóÝÈÕÉÏ
Òø³æ (ÖøÃûдÊÖ)
- ÊýѧEPI: 1
- Ó¦Öú: 1 (Ó×¶ùÔ°)
- ½ð±Ò: 366.8
- É¢½ð: 1542
- ºì»¨: 7
- ɳ·¢: 5
- Ìû×Ó: 1041
- ÔÚÏß: 234.3Сʱ
- ³æºÅ: 1094132
- ×¢²á: 2010-09-09
- ÐÔ±ð: MM
- רҵ: ÊýÀíͳ¼Æ
5Â¥2011-01-24 22:04:24
hebtukj
½ð³æ (СÓÐÃûÆø)
- Ó¦Öú: 2 (Ó×¶ùÔ°)
- ½ð±Ò: 998.1
- É¢½ð: 60
- Ìû×Ó: 277
- ÔÚÏß: 96Сʱ
- ³æºÅ: 1175239
- ×¢²á: 2010-12-22
- רҵ: ·ºº¯·ÖÎö
6Â¥2011-01-25 08:43:30














»Ø¸´´ËÂ¥