24СʱÈÈÃŰæ¿éÅÅÐаñ    

±±¾©Ê¯ÓÍ»¯¹¤Ñ§Ôº2026ÄêÑо¿ÉúÕÐÉú½ÓÊÕµ÷¼Á¹«¸æ
²é¿´: 1142  |  »Ø¸´: 4

huxiasoar

ľ³æ (ÖøÃûдÊÖ)


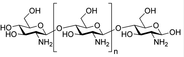
[½»Á÷] ¡¾ÇóÖú¡¿¿Ç¹ÑÌÇÓÃÓ²Ö¬ËáµÄÐÞÊÎ


¿Ç¹ÑÌÇ

Ó²Ö¬Ëá
ÏëÓÃ̼¶þÑǰ·½«Ó²Ö¬ËáÁ¬ÉϿǹÑÌǵݱ»ù£¬ÓÐרÀûһƪ
ÎÊÌ⣺
1.ÈçºÎÖªµÀ·´Ó¦½øÐеÄÔõôÑù£¿ÄÜÓÃ×ÏÍâ°¡£¬µã°åÖ®ÀàµÄ·½·¨Âð£¿
2.·´Ó¦µÃµ½µÄÓ²Ö¬Ëá½ÓÖ¦µÄ¿Ç¹ÑÌǵݱ»ùÈ¡´ú¶È³ýÁËÎÄÖеÄÈýÏõ»ù±½»ÇËá·¨Í⻹ÓÐÆäËûµÄ·½·¨²â¶¨Â𣿣¨ÈýÏõ»ù±½»ÇËáÄÜÓë×ÔÓɰ±»ù½áºÏ£¬½áºÏºóÓÐ×ÏÍâÎüÊÕ£©
»Ø¸´´ËÂ¥

» ²ÂÄãϲ»¶

» ±¾Ö÷ÌâÏà¹Ø¼ÛÖµÌùÍÆ¼ö£¬¶ÔÄúͬÑùÓаïÖú:

» ÇÀ½ð±ÒÀ²£¡»ØÌû¾Í¿ÉÒԵõ½:

²é¿´È«²¿É¢½ðÌù

ÒÑÔÄ   »Ø¸´´ËÂ¥   ¹Ø×¢TA ¸øTA·¢ÏûÏ¢ ËÍTAºì»¨ TAµÄ»ØÌû

huxiasoar

ľ³æ (ÖøÃûдÊÖ)


ϵͳ³öÁËÎÊÌ⣬ÏÂÔØ¸½¼þºó½«ºó׺¸ÄΪPDF¾Í¿ÉÒÔ´ò¿ª×¨Àû¡£
2Â¥2011-01-09 17:13:43
ÒÑÔÄ   »Ø¸´´ËÂ¥   ¹Ø×¢TA ¸øTA·¢ÏûÏ¢ ËÍTAºì»¨ TAµÄ»ØÌû

ÔÙ¹ËÇà³Ç

ľ³æ (ÕýʽдÊÖ)


¡ï
Сľ³æ(½ð±Ò+0.5):¸ø¸öºì°ü£¬Ð»Ð»»ØÌû
»Ø´ð£º
1¡¢TLC¼à²â·´Ó¦¹ý³Ì²»¿ÉÐУ¬ÒòΪÄãµÄÔ­Áϱ¾À´¾ÍÊÇ»ìºÏÎ³ý·ÇÄãÓÿǹÑÌǵ¥Ìå×öµ×ÎÈç¿Ç¶þÌÇ£¬¿ÇÈýÌÁ£¬-----¿ÇÁùÌǵȵȡ£ÕâÑù¿ÉÒÔ×öл¯ºÏÎ´´ÐÂÐÔҲǿ
2.È¡´ú¶È¿ÉÒÔͨ¹ýºË´ÅºÍºìÍâµÈ·½Ê½À´È·¶¨£¬Òª½¨Á¢·½·¨
3Â¥2011-11-01 10:17:54
ÒÑÔÄ   »Ø¸´´ËÂ¥   ¹Ø×¢TA ¸øTA·¢ÏûÏ¢ ËÍTAºì»¨ TAµÄ»ØÌû

huxiasoar

ľ³æ (ÖøÃûдÊÖ)


ÒýÓûØÌû:
3Â¥: Originally posted by ÔÙ¹ËÇà³Ç at 2011-11-01 10:17:54:
»Ø´ð£º
1¡¢TLC¼à²â·´Ó¦¹ý³Ì²»¿ÉÐУ¬ÒòΪÄãµÄÔ­Áϱ¾À´¾ÍÊÇ»ìºÏÎ³ý·ÇÄãÓÿǹÑÌǵ¥Ìå×öµ×ÎÈç¿Ç¶þÌÇ£¬¿ÇÈýÌÁ£¬-----¿ÇÁùÌǵȵȡ£ÕâÑù¿ÉÒÔ×öл¯ºÏÎ´´ÐÂÐÔҲǿ
2.È¡´ú¶È¿ÉÒÔͨ¹ýºË´ÅºÍºìÍâµÈ·½Ê½À´È·¶¨£¬Òª ...

ллÄãµÄ·ÖÎö¡£
Ò»¶¨ÒªÊÇ´¿Æ·²ÅÄÜTLC¼ì²âÂð£¿
ºÃÏñºìÍâºÃÏñÒ²ÊÇÒªÇó´¿¶È97%ÒÔÉϲâ°É£¿µ«ÊÇ¿´µ½ºÃ¶àÈ˶ԿǾÛÌǵÄÐÞÊη´Ó¦µÄ¼ø±ð¶¼ÊÇÓõĺìÍâ¡£
4Â¥2011-11-01 14:42:55
ÒÑÔÄ   »Ø¸´´ËÂ¥   ¹Ø×¢TA ¸øTA·¢ÏûÏ¢ ËÍTAºì»¨ TAµÄ»ØÌû

ÔÙ¹ËÇà³Ç

ľ³æ (ÕýʽдÊÖ)


¡ï
Сľ³æ(½ð±Ò+0.5):¸ø¸öºì°ü£¬Ð»Ð»»ØÌû
ÒýÓûØÌû:
4Â¥: Originally posted by huxiasoar at 2011-11-01 14:42:55:
ллÄãµÄ·ÖÎö¡£
Ò»¶¨ÒªÊÇ´¿Æ·²ÅÄÜTLC¼ì²âÂð£¿
ºÃÏñºìÍâºÃÏñÒ²ÊÇÒªÇó´¿¶È97%ÒÔÉϲâ°É£¿µ«ÊÇ¿´µ½ºÃ¶àÈ˶ԿǾÛÌǵÄÐÞÊη´Ó¦µÄ¼ø±ð¶¼ÊÇÓõĺìÍâ¡£

ÆÕͨÊÐÊۿǹÑÌǺ¬2-10ÌÇÒÔ¼°²¿·ÖÒÒõ£»¯µÄÊ®¼¸ÖÖÒÔÉÏ»¯ºÏÎºÏ³É·´Ó¦Éú³ÉµÄ»¯ºÏÎïÖÖÀàÊǷdz£¶àµÄ£¬ÎÞ·¨ÓÃTLCÀ´¼à²â¡£
Ò»°ãµÄºìÍâ¼ø±ðÊÇÍÆËãÆ½¾ùÈ¡´ú¶È£¬¾ÍÊǰ±»ù·åÏ÷ÈõµÄ³Ì¶È
²»ÖªµÀÄãÃÇ·¢ÎÄÕÂÓÐʲôҪÇó£¬Èç¹ûÒª·¢SCI£¬½¨ÒéÓÿǹÑÌǵ¥Ìå×ö
5Â¥2011-11-01 15:16:23
ÒÑÔÄ   »Ø¸´´ËÂ¥   ¹Ø×¢TA ¸øTA·¢ÏûÏ¢ ËÍTAºì»¨ TAµÄ»ØÌû
Ïà¹Ø°æ¿éÌø×ª ÎÒÒª¶©ÔÄÂ¥Ö÷ huxiasoar µÄÖ÷Ìâ¸üÐÂ
×î¾ßÈËÆøÈÈÌûÍÆ¼ö [²é¿´È«²¿] ×÷Õß »Ø/¿´ ×îºó·¢±í
[¿¼ÑÐ] »·¾³×¨Ë¶µ÷¼Á +5 »á˵»°µÄÖâ×Ó 2026-04-06 5/250 2026-04-06 22:47 by qlm5820
[¿¼ÑÐ] 071000ÉúÎïѧµ÷¼Á +7 À­ÌáÌÒ 2026-04-06 7/350 2026-04-06 18:55 by 52305043001
[¿¼ÑÐ] Ò»Ö¾Ô¸ÎäÀí³µÁ¾×¨Ë¶×Ü·Ö 281 Çóµ÷¼Á +3 Éϰ¶Ñо¿Éú. 2026-04-02 3/150 2026-04-06 16:46 by СÔ¶ùѽѽ
[¿¼ÑÐ] 284Çóµ÷¼Á +7 Ðìͬѧ_001 2026-04-04 13/650 2026-04-05 17:19 by yulian1987
[¿¼ÑÐ] 328·Öµ÷¼Á +6 ÃÅmen 2026-04-04 6/300 2026-04-05 13:40 by imissbao
[¿¼ÑÐ] ²ÄÁÏר˶306Ó¢Ò»Êý¶þ +8 z1z2z3879 2026-03-31 8/400 2026-04-04 22:08 by hemengdong
[¿¼ÑÐ] ¿¼Ñе÷¼Á +3 15615482637 2026-04-03 3/150 2026-04-03 22:50 by ms629
[¿¼ÑÐ] ±¾¿Æ985£¬×¨Òµ0812·Ö336Çóµ÷¼Á +4 ĪĪºÜÐÐ 2026-04-03 4/200 2026-04-03 21:31 by zhq0425
[¿¼ÑÐ] 285Çóµ÷¼Á +5 AZMK 2026-04-03 8/400 2026-04-03 18:17 by AZMK
[¿¼ÑÐ] Ò»Ö¾Ô¸»ªÖÐũҵ071010£¬×Ü·Ö320Çóµ÷¼Á +7 À§À§À§À§À¤À¤ 2026-04-02 7/350 2026-04-03 17:26 by Yuena_Wang
[¿¼ÑÐ] 266·Ö£¬Ò»Ö¾Ô¸µçÆø¹¤³Ì£¬±¾¿Æ²ÄÁÏ£¬Çó²ÄÁÏרҵµ÷¼Á +9 ÍÛºôºßºôºß 2026-04-02 9/450 2026-04-03 12:05 by 1753564080
[¿¼ÑÐ] 274Çóµ÷¼Á +10 Ѧ¶¨Ú̵Ļ¢¡£ 2026-04-01 10/500 2026-04-03 10:13 by tianyyysss
[¿¼²©] É격ÇóÖú +3 Reee1Llll 2026-04-01 3/150 2026-04-02 22:29 by ÕâÊÇÒ»¸öÎÞÁĵÄê
[¿¼ÑÐ] Ò»Ö¾Ô¸±±¾©¿Æ¼¼´óѧ085601²ÄÁϹ¤³ÌÓ¢Ò»Êý¶þ³õÊÔ×Ü·Ö335Çóµ÷¼Á +8 Ë«ÂíβƦÀϰå2 2026-04-02 9/450 2026-04-02 14:45 by 5896
[¿¼ÑÐ] Ò»Ö¾Ô¸±±¾©¿Æ¼¼´óѧ085601²ÄÁϹ¤³ÌÓ¢Ò»Êý¶þ³õÊÔ×Ü·Ö335Çóµ÷¼Á +9 Ë«ÂíβƦÀϰå2 2026-04-01 9/450 2026-04-02 12:14 by oooqiao
[¿¼ÑÐ] Ò»Ö¾Ô¸346ÉϺ£´óѧÉúÎïѧ +3 ÉϺ£´óѧ346µ÷¼Á 2026-04-01 3/150 2026-04-02 08:36 by w³æ³æ123
[¿¼ÑÐ] ²ÄÁϵ÷¼Á +12 Ò»ÑùYWY 2026-04-01 12/600 2026-04-02 00:21 by °ÙÃë¹âÄê
[¿¼ÑÐ] 292Çóµ÷¼Á +17 ľ³æer12138 2026-04-01 17/850 2026-04-01 21:37 by Æß¶È²»ÐÅÈÎ
[¿¼ÑÐ] 085601 329·Öµ÷¼Á +6 yzsa12 2026-03-31 6/300 2026-03-31 15:23 by yanflower7133
[¿¼ÑÐ] ¼ª´óÉúÎïѧ326·ÖÇóµ÷¼Á +3 sunnyupup 2026-03-31 3/150 2026-03-31 09:28 by longlotian
ÐÅÏ¢Ìáʾ
ÇëÌî´¦ÀíÒâ¼û