²é¿´: 629  |  »Ø¸´: 7

Shoney

ľ³æ (ÖøÃûдÊÖ)


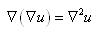
[½»Á÷] ¡¾ÇóÖú¡¿ÕâÁ½¸öµÈʽ³ÉÁ¢Âð£¿

ÈçÏÂËùʾ£º




[ Last edited by Shoney on 2011-1-1 at 02:27 ]
»Ø¸´´ËÂ¥

» ²ÂÄãϲ»¶

» ÇÀ½ð±ÒÀ²£¡»ØÌû¾Í¿ÉÒԵõ½:

²é¿´È«²¿É¢½ðÌù

ÒÑÔÄ   »Ø¸´´ËÂ¥   ¹Ø×¢TA ¸øTA·¢ÏûÏ¢ ËÍTAºì»¨ TAµÄ»ØÌû
Shoney(½ð±Ò+1):ллӦÖú 2011-01-11 12:14:58
µÚÒ»¸ö³ÉÁ¢£¬µÚ¶þ¸ö²»ºã³ÉÁ¢
2Â¥2011-01-01 05:06:14
ÒÑÔÄ   »Ø¸´´ËÂ¥   ¹Ø×¢TA ¸øTA·¢ÏûÏ¢ ËÍTAºì»¨ TAµÄ»ØÌû

Shoney

ľ³æ (ÖøÃûдÊÖ)


ÒýÓûØÌû:
Originally posted by Сľ³æ at 2011-01-01 05:06:14:
µÚÒ»¸ö³ÉÁ¢£¬µÚ¶þ¸ö²»ºã³ÉÁ¢

µÚ¶þ¸ö²»ºã³ÉÁ¢ÔõôÀí½â£¿
ÇóÏê½â
лл£¡
3Â¥2011-01-01 06:19:29
ÒÑÔÄ   »Ø¸´´ËÂ¥   ¹Ø×¢TA ¸øTA·¢ÏûÏ¢ ËÍTAºì»¨ TAµÄ»ØÌû
ÒýÓûØÌû:
Originally posted by Shoney at 2011-01-01 06:19:29:

µÚ¶þ¸ö²»ºã³ÉÁ¢ÔõôÀí½â£¿
ÇóÏê½â
лл£¡

±ÈÈçÄãÉèu=0µÚ¶þ¸öµÈʽ¾Í³ÉÁ¢
4Â¥2011-01-01 07:14:46
ÒÑÔÄ   »Ø¸´´ËÂ¥   ¹Ø×¢TA ¸øTA·¢ÏûÏ¢ ËÍTAºì»¨ TAµÄ»ØÌû

Ptolomaeus

Ìú¸Ëľ³æ (ÕýʽдÊÖ)


Shoney(½ð±Ò+1):ллӦÖú 2011-01-11 12:14:41
µ¹Èý½Ç^2 ÓÖ³ÆLaplaceËã×Ó£¬ËüµÄ¶¨Òå¾ÍÊǵÚÒ»¸öʽ×Ó¡£µÚ¶þ¸öºÍµÚÒ»¸öÃ÷ÏÔ²»Ò»Ñù°¡¡£¡£¡£
5Â¥2011-01-01 22:35:37
ÒÑÔÄ   »Ø¸´´ËÂ¥   ¹Ø×¢TA ¸øTA·¢ÏûÏ¢ ËÍTAºì»¨ TAµÄ»ØÌû

wlswlslws

Òø³æ (СÓÐÃûÆø)


Â¥Ö÷ûѧƫ΢Âð
6Â¥2011-01-02 10:49:27
ÒÑÔÄ   »Ø¸´´ËÂ¥   ¹Ø×¢TA ¸øTA·¢ÏûÏ¢ ËÍTAºì»¨ TAµÄ»ØÌû

napoleon2007

ľ³æ (ÕýʽдÊÖ)


LaplaceËã×ÓºÜÓÐÒâ˼µÄ£¬
ÂýÂýѧ°É
Ôںܶàѧ¿ÆµÄÀíÂÛ¼ÆËã¶¼ÄÜÓõ½

[ Last edited by napoleon2007 on 2011-1-2 at 22:26 ]
7Â¥2011-01-02 22:24:16
ÒÑÔÄ   »Ø¸´´ËÂ¥   ¹Ø×¢TA ¸øTA·¢ÏûÏ¢ ËÍTAºì»¨ TAµÄ»ØÌû

Shoney

ľ³æ (ÖøÃûдÊÖ)


ÒýÓûØÌû:
Originally posted by wlswlslws at 2011-01-02 10:49:27:
Â¥Ö÷ûѧƫ΢Âð

ûѧºÃ
8Â¥2011-01-11 12:15:43
ÒÑÔÄ   »Ø¸´´ËÂ¥   ¹Ø×¢TA ¸øTA·¢ÏûÏ¢ ËÍTAºì»¨ TAµÄ»ØÌû
Ïà¹Ø°æ¿éÌø×ª ÎÒÒª¶©ÔÄÂ¥Ö÷ Shoney µÄÖ÷Ìâ¸üÐÂ
×î¾ßÈËÆøÈÈÌûÍÆ¼ö [²é¿´È«²¿] ×÷Õß »Ø/¿´ ×îºó·¢±í
[¿¼ÑÐ] 317Çóµ÷¼Á +12 Éê×ÓÉêÉê 2026-03-19 18/900 2026-03-22 22:23 by luoyongfeng
[¿¼ÑÐ] 284Çóµ÷¼Á +5 Zhao anqi 2026-03-22 5/250 2026-03-22 17:38 by barlinike
[¿¼ÑÐ] 287Çóµ÷¼Á +8 ³¿»èÏßÓëÐǺ£ 2026-03-19 9/450 2026-03-22 17:01 by i_cooler
[¿¼ÑÐ] ÉúÎïѧ071000 329·ÖÇóµ÷¼Á +5 ÎÒ°®ÉúÎïÉúÎﰮΠ2026-03-17 5/250 2026-03-22 16:42 by tcx007
[¿¼ÑÐ] 286·ÖÈ˹¤ÖÇÄÜרҵÇëÇóµ÷¼ÁÔ¸Òâ¿ç¿¼£¡ +4 lemonzzn 2026-03-17 8/400 2026-03-21 22:49 by lemonzzn
[¿¼ÑÐ] ×ÊÔ´Óë»·¾³ µ÷¼ÁÉêÇë(333·Ö) +5 holy J 2026-03-21 5/250 2026-03-21 22:42 by Catalysis25
[¿¼ÑÐ] 280Çóµ÷¼Á +11 ¹¾ààÏþÏþ 2026-03-18 12/600 2026-03-21 22:40 by ACS Nano¡ª¡ª
[¿¼ÑÐ] 297Çóµ÷¼Á +3 ϲ»¶»¹ÊDz»¸ÊÐÄ 2026-03-20 3/150 2026-03-21 18:33 by ѧԱ8dgXkO
[¿¼ÑÐ] ¹¤¿Æ0856Çóµ÷¼Á +3 ãåÎö͡͡ 2026-03-21 3/150 2026-03-21 18:30 by ѧԱ8dgXkO
[¿¼ÑÐ] 306Çó0703µ÷¼ÁÒ»Ö¾Ô¸»ªÖÐʦ·¶ +5 Ö½Óãly 2026-03-21 5/250 2026-03-21 17:11 by ѧԱ8dgXkO
[¿¼ÑÐ] ÄϾ©´óѧ»¯Ñ§376Çóµ÷¼Á +3 hisfailed 2026-03-19 6/300 2026-03-20 23:43 by hisfailed
[¿¼ÑÐ] Ò»Ö¾Ô¸ÄϾ©Àí¹¤´óѧ085701×ÊÔ´Óë»·¾³302·ÖÇóµ÷¼Á +4 ¿ûè÷ÎÀ¶Ó 2026-03-18 6/300 2026-03-20 23:02 by JourneyLucky
[¿¼ÑÐ] Ò»Ö¾Ô¸ËÕÖÝ´óѧ²ÄÁÏÇóµ÷¼Á£¬×Ü·Ö315£¨Ó¢Ò»£© +5 sbdksD 2026-03-19 5/250 2026-03-20 22:10 by luoyongfeng
[¿¼ÑÐ] ¡¾Í¬¼ÃÈí¼þ¡¿Èí¼þ£¨085405£©¿¼ÑÐÇóµ÷¼Á +3 2026eternal 2026-03-18 3/150 2026-03-18 19:09 by ²«»÷518
[¿¼ÑÐ] 085601ר˶£¬×Ü·Ö342Çóµ÷¼Á£¬µØÇø²»ÏÞ +5 share_joy 2026-03-16 5/250 2026-03-18 14:48 by haxia
[¿¼ÑÐ] 0854¿É¿çµ÷¼Á£¬Ò»×÷Ò»ÏîºËÐÄÂÛÎÄÎåÏîרÀû£¬Ê¡¡¢¹ú¼¶Ö¤Êé40+ÊýÒ»Ó¢Ò»287 +8 СÀî0854 2026-03-16 8/400 2026-03-18 14:35 by ²«»÷518
[¿¼ÑÐ] 277µ÷¼Á +5 ×ÔÓɼå±ý¹û×Ó 2026-03-16 6/300 2026-03-17 19:26 by Àîleezz
[˶²©¼ÒÔ°] ºþ±±¹¤Òµ´óѧ ÉúÃü¿ÆÑ§Ó뽡¿µÑ§Ôº-¿ÎÌâ×éÕÐÊÕ2026¼¶Ê³Æ·/ÉúÎï·½Ïò˶ʿ +3 1ϲ´º8 2026-03-17 5/250 2026-03-17 17:18 by ber´¨cool×Ó
[¿¼ÑÐ] 308Çóµ÷¼Á +4 ÊÇLupa°¡ 2026-03-16 4/200 2026-03-17 17:12 by ruiyingmiao
[¿¼ÑÐ] ÓÐûÓеÀÌú/ÍÁľµÄÏëµ÷¼ÁÄÏÁÖ£¬¸ø×Ô¼ºÕÐʦµÜÖС« +3 TqlXswl 2026-03-16 7/350 2026-03-17 15:23 by TqlXswl
ÐÅÏ¢Ìáʾ
ÇëÌî´¦ÀíÒâ¼û