| 查看: 276 | 回复: 0 | |||
tulipmah新虫 (小有名气)
|
[交流]
【求助】请教一个方程的求解方式
|
|
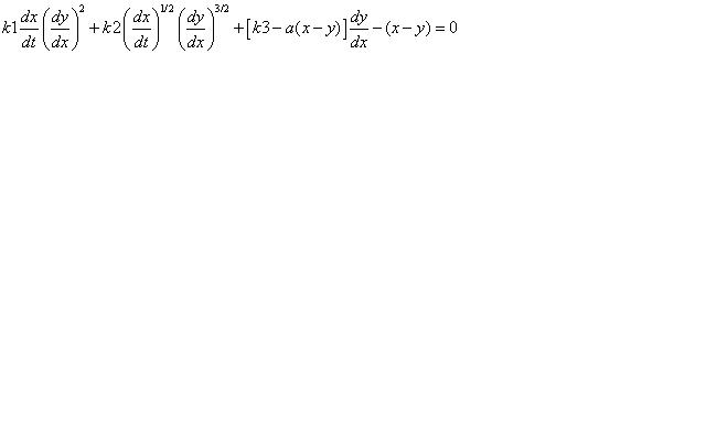
一个方程是有关dy/dx的多项式形式,多项式中包含x、y和dx/dt,x是时间t的函数,y未知,需要求解dy/dx或y,应该采用什么方法求,用微分方程的形式还是别的什么办法?各位大师们帮忙指点一下,多谢! |
» 猜你喜欢
新西兰Robinson研究所招收全奖PhD
已经有0人回复
石墨烯转移--二氧化硅衬底石墨烯
已经有0人回复
物理学I论文润色/翻译怎么收费?
已经有187人回复
笼目材料中量子自旋液体基态的证据
已经有0人回复
数学教学论硕士可以读数学物理博士吗?
已经有0人回复
德国亥姆霍兹Hereon中心汉堡分部招镁合金腐蚀裂变SCC课题方向2026公派博士生
已经有4人回复
澳门大学 应用物理及材料工程研究院 潘晖教授课题组诚招博士后
已经有11人回复
求助NH4V4O10晶体的CIF文件
已经有0人回复
英国全奖博士招聘-深度学习与量子物理
已经有0人回复
间接带隙半导体有效质量求助
已经有1人回复
投稿chemical physical letters不送审?
已经有2人回复













回复此楼