| ²é¿´: 2523 | »Ø¸´: 9 | |||
| ±¾Ìû²úÉú 1 ¸ö ²©Ñ§EPI £¬µã»÷ÕâÀï½øÐв鿴 | |||
lugeeͳæ (ÕýʽдÊÖ)
|
[½»Á÷]
¼±£ºÈçºÎÀûÓÃorigin×÷ͼÈí¼þ½øÐÐÃæ»ý»ý·Ö
|
||
|
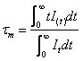
ÈçºÎÀûÓÃorigin×÷ͼÈí¼þ¶ÔͼÓë×ø±êΧ³ÉµÄÃæ»ý½øÐлý·Ö? ºÜ׿±£¬Ð´ÎÄÕÂÒªÓã¬Âé·³¸÷λ³æÓѰïæ½â´ð¡£ Çë˵Ã÷ÊÇÀûÓÃoriginÈí¼þÄĸö²Ëµ¥£¬ÈçºÎ²Ù×÷£¬¶àл£¡ |
» ²ÂÄãϲ»¶
»¯Ñ§µ÷¼ÁÇóÖú
ÒѾÓÐ14È˻ظ´
²ÄÁÏÀà284µ÷¼Á
ÒѾÓÐ12È˻ظ´
²ÄÁÏ¿¼ÑÐÇóµ÷¼Á×Ü·Ö280
ÒѾÓÐ31È˻ظ´
325·Ö»¯Ñ§µ÷¼Á
ÒѾÓÐ9È˻ظ´
Óб¬ÁÏ£¬Ò»¸öÇàÄê½ÌʦÂô·¿µÃ400Íò£¬È»ºó»»ÁËÒ»¸öËÄÇàñ×Ó
ÒѾÓÐ4È˻ظ´
Ò»Ö¾Ô¸211£¬0703»¯Ñ§305·ÖÇóµ÷¼Á
ÒѾÓÐ21È˻ظ´
0703»¯Ñ§µ÷¼Á 348·Ö
ÒѾÓÐ15È˻ظ´
0703»¯Ñ§Çóµ÷¼Á
ÒѾÓÐ6È˻ظ´
368»¯Ñ§Çóµ÷¼Á
ÒѾÓÐ7È˻ظ´
±¾¿Æ211£¬293·ÖÇëÇóµ÷¼Á
ÒѾÓÐ12È˻ظ´
lugee
ͳæ (ÕýʽдÊÖ)
- Ó¦Öú: 2 (Ó×¶ùÔ°)
- ½ð±Ò: 787.4
- É¢½ð: 146
- ºì»¨: 4
- Ìû×Ó: 755
- ÔÚÏß: 160.1Сʱ
- ³æºÅ: 396831
- ×¢²á: 2007-06-09
- רҵ: ½ðÊô²ÄÁϵÄÄ¥ËðÓëĥʴ
2Â¥2010-06-22 21:51:00
zpj110
ľ³æ (ÖøÃûдÊÖ)
- ²©Ñ§EPI: 33
- Ó¦Öú: 29 (СѧÉú)
- ½ð±Ò: 3308.1
- É¢½ð: 102
- ºì»¨: 6
- Ìû×Ó: 1050
- ÔÚÏß: 459.9Сʱ
- ³æºÅ: 770533
- ×¢²á: 2009-05-14
- ÐÔ±ð: GG
- רҵ: ÎÞ»ú·Ç½ðÊôÀà¹âµçÐÅÏ¢Ó빦
3Â¥2010-06-22 22:04:54
lugee
ͳæ (ÕýʽдÊÖ)
- Ó¦Öú: 2 (Ó×¶ùÔ°)
- ½ð±Ò: 787.4
- É¢½ð: 146
- ºì»¨: 4
- Ìû×Ó: 755
- ÔÚÏß: 160.1Сʱ
- ³æºÅ: 396831
- ×¢²á: 2007-06-09
- רҵ: ½ðÊô²ÄÁϵÄÄ¥ËðÓëĥʴ
4Â¥2010-06-23 08:02:59
lugee
ͳæ (ÕýʽдÊÖ)
- Ó¦Öú: 2 (Ó×¶ùÔ°)
- ½ð±Ò: 787.4
- É¢½ð: 146
- ºì»¨: 4
- Ìû×Ó: 755
- ÔÚÏß: 160.1Сʱ
- ³æºÅ: 396831
- ×¢²á: 2007-06-09
- רҵ: ½ðÊô²ÄÁϵÄÄ¥ËðÓëĥʴ
5Â¥2010-06-23 20:06:46
holland3
Ìú¸Ëľ³æ (ÖøÃûдÊÖ)
- ²©Ñ§EPI: 8
- Ó¦Öú: 0 (Ó×¶ùÔ°)
- ½ð±Ò: 9537.8
- ºì»¨: 1
- Ìû×Ó: 1045
- ÔÚÏß: 47.1Сʱ
- ³æºÅ: 941787
- ×¢²á: 2010-01-13
- ÐÔ±ð: GG
- רҵ: ¸ß·Ö×Ó²ÄÁÏÓë»·¾³

6Â¥2010-06-24 15:09:49
huangjunyi
Ìú³æ (³õÈëÎÄ̳)
- Ó¦Öú: 0 (Ó×¶ùÔ°)
- ½ð±Ò: 20.1
- Ìû×Ó: 33
- ÔÚÏß: 11.4Сʱ
- ³æºÅ: 934812
- ×¢²á: 2009-12-29
- רҵ: ÉúÎïÒ½Óø߷Ö×Ó²ÄÁÏ
7Â¥2010-06-26 19:15:24
sww8969
ľ³æ (ÕýʽдÊÖ)
ÇÒÐÐÇÒÕäϧ
- Ó¦Öú: 3 (Ó×¶ùÔ°)
- ½ð±Ò: 4098.4
- É¢½ð: 108
- ºì»¨: 23
- ɳ·¢: 2
- Ìû×Ó: 863
- ÔÚÏß: 141.9Сʱ
- ³æºÅ: 1383705
- ×¢²á: 2011-08-30
- ÐÔ±ð: MM
- רҵ: ÎÞ»ú·Ç½ðÊôÀà¹âµçÐÅÏ¢Ó빦

8Â¥2011-12-18 20:29:49
lugee
ͳæ (ÕýʽдÊÖ)
- Ó¦Öú: 2 (Ó×¶ùÔ°)
- ½ð±Ò: 787.4
- É¢½ð: 146
- ºì»¨: 4
- Ìû×Ó: 755
- ÔÚÏß: 160.1Сʱ
- ³æºÅ: 396831
- ×¢²á: 2007-06-09
- רҵ: ½ðÊô²ÄÁϵÄÄ¥ËðÓëĥʴ
9Â¥2011-12-19 14:47:03
sww8969
ľ³æ (ÕýʽдÊÖ)
ÇÒÐÐÇÒÕäϧ
- Ó¦Öú: 3 (Ó×¶ùÔ°)
- ½ð±Ò: 4098.4
- É¢½ð: 108
- ºì»¨: 23
- ɳ·¢: 2
- Ìû×Ó: 863
- ÔÚÏß: 141.9Сʱ
- ³æºÅ: 1383705
- ×¢²á: 2011-08-30
- ÐÔ±ð: MM
- רҵ: ÎÞ»ú·Ç½ðÊôÀà¹âµçÐÅÏ¢Ó빦

10Â¥2011-12-19 21:15:37














»Ø¸´´ËÂ¥


