| 查看: 271 | 回复: 2 | |||
| 当前主题已经存档。 | |||
[交流]
【求助】帮忙说下这个皂苷的结构 已有2人参与
|
|||
|
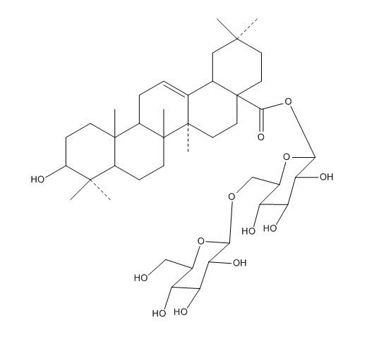
齐墩果酸皂苷元-28-O-β-D-吡喃葡萄糖-(1→6)-β-D-吡喃葡萄糖酯 macranthoisideⅠ 这两个皂苷的结构,我不懂啊,谁帮我写写,万分感谢!!! |
» 猜你喜欢
275求调剂
已经有10人回复
286求调剂
已经有6人回复
083000学硕274求调剂
已经有5人回复
【求调剂】085601材料工程专硕 | 总分272 |
已经有5人回复
275求调剂
已经有13人回复
0856,材料与化工321分求调剂
已经有8人回复
085701环境工程,267求调剂
已经有12人回复
320分,材料与化工专业,求调剂
已经有7人回复
085701环境工程求调剂
已经有8人回复
295材料工程专硕求调剂
已经有5人回复
xiaodu2007693
木虫 (著名写手)
药学版~龙猫
- PhEPI: 14
- 应助: 14 (小学生)
- 贵宾: 1.009
- 金币: 2814.8
- 散金: 1819
- 红花: 12
- 沙发: 4
- 帖子: 2236
- 在线: 253.9小时
- 虫号: 504085
- 注册: 2008-02-15
- 性别: GG
- 专业: 天然有机化学

2楼2010-04-18 17:41:54
leonard187
木虫 (著名写手)
- PhEPI: 3
- 应助: 33 (小学生)
- 金币: 5620.9
- 散金: 6
- 红花: 12
- 帖子: 1268
- 在线: 466.8小时
- 虫号: 549170
- 注册: 2008-04-20
- 性别: GG
- 专业: 天然药物化学

3楼2010-04-18 21:37:35














回复此楼
