| 查看: 796 | 回复: 3 | ||
| 【悬赏金币】回答本帖问题,作者鸿飞CN将赠送您 5 个金币 | ||
[求助]
异氰尿酸三缩水甘油酯(TGIC)副产的应用联合开发 已有1人参与
|
||
|
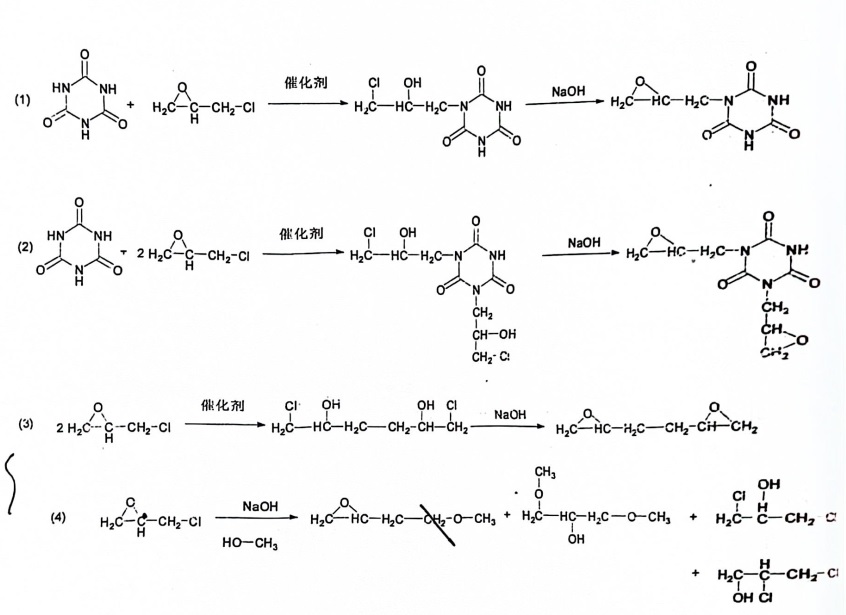
TGIC的副产我已经大量应用在其他行业,想做点新高度的产品 副产的主要成分为 环氧氯丙烷与疫情尿酸加成物 78% 环氧氯丙烷开环聚合物8% 二氯丙醇5%等 环氧值 0.08mol/100g 羟值 135mg/KOH 目前想下游开发 聚醚多元醇 和环氧树脂固化剂方向(其他有附加值的产品也可以商讨)有碰到专业方向的大师请讨教下,可以私信 |
» 猜你喜欢
288求调剂 一志愿哈工大 材料与化工
已经有16人回复
0805求调剂
已经有4人回复
求调剂,一志愿北林食品与营养095500,301分,已过六级,有科研经历
已经有3人回复
0856材料与化工调剂,339
已经有5人回复
311(085601)求调剂
已经有10人回复
080200专业277分,求带走!
已经有4人回复
359求调剂
已经有6人回复
342求调剂
已经有6人回复
070300化学279求调剂
已经有10人回复
086000生物与医药298调剂求助
已经有5人回复
2楼2025-09-02 15:28:05
1592203609
荣誉版主 (知名作家)
- 应助: 254 (大学生)
- 贵宾: 0.37
- 金币: 35191.9
- 散金: 468
- 红花: 164
- 沙发: 5
- 帖子: 5653
- 在线: 2195.1小时
- 虫号: 1766262
- 注册: 2012-04-19
- 性别: GG
- 专业: 有机合成
- 管辖: 仿真模拟
3楼2025-09-03 09:11:09
4楼2025-09-08 10:53:32














回复此楼