²é¿´: 1192  |  »Ø¸´: 7

syh1977

гæ (³õÈëÎÄ̳)


[½»Á÷] Ï¡ÍÁ²ôÔÓ¹âÖ·¢¹â²ÄÁÏÖеľ§Ì峡ǿÓë·¢É䲨³¤µÄ¹ØÏµ

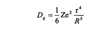
ÎÒ¿´µ½ÎÄÏ×ÖУºÏ¡ÍÁ²ôÔÓ¹âÖ·¢¹â²ÄÁÏÖг¡Ç¿ÈçÏÂʽ£ºÆäÖÐ £Ä£ñ´ú±í¾§Ì峡ǿ¶È£¬£ÚÊÇÒõÀë×ÓµçºÉ£¬£åÊǵç×ÓµçºÉ£¬rÊDz¨º¯ÊýµÄ°ë¾¶£¬£Ò ÊǼü³¤¡£
ÏÔÈ»£¬ £Ä£ñÓë £±£¯£Ò£µ³ÉÕý±È¡£ Òò´Ë£¬ ¾§Ì峡ǿ¶ÈËæ×żü³¤±ä¶Ì¶øÔöÇ¿£¬µ¼Ö·¢É䲨³¤ÊǺìÒÆ¡£ÎҸоõÔõôÊÇÀ¶ÒÆ£¬Ç¿¶È¸ß²»ÊDz¨³¤¶ÌÂð£¿

Ï¡ÍÁ²ôÔÓ¹âÖ·¢¹â²ÄÁÏÖеľ§Ì峡ǿÓë·¢É䲨³¤µÄ¹ØÏµ
»Ø¸´´ËÂ¥

» ²ÂÄãϲ»¶

» ±¾Ö÷ÌâÏà¹ØÉ̼ÒÍÆ¼ö: (ÎÒÒ²ÒªÔÚÕâÀïÍÆ¹ã)

» ÇÀ½ð±ÒÀ²£¡»ØÌû¾Í¿ÉÒԵõ½:

²é¿´È«²¿É¢½ðÌù

ÒÑÔÄ   »Ø¸´´ËÂ¥   ¹Ø×¢TA ¸øTA·¢ÏûÏ¢ ËÍTAºì»¨ TAµÄ»ØÌû
¡ï
syh1977(½ð±Ò+1): лл²ÎÓë
ͬÑùµÄÈëÉäÄÜÁ¿£¬¼¤·¢³ö¹âµÄ²¨³¤Ëæ¼üÇ¿¶ÈÔöÇ¿¶øÔö´ó£¬Ò²¾ÍÊÇ·¢Éä¹âµÄÄÜÁ¿½µµÍ£¬ËùÒÔÊǺìÒÆ¡£
5Â¥2025-08-10 10:35:46
ÒÑÔÄ   »Ø¸´´ËÂ¥   ¹Ø×¢TA ¸øTA·¢ÏûÏ¢ ËÍTAºì»¨ TAµÄ»ØÌû

syh1977

гæ (³õÈëÎÄ̳)


ÒýÓûØÌû:
5Â¥: Originally posted by guxue at 2025-08-10 10:35:46
ͬÑùµÄÈëÉäÄÜÁ¿£¬¼¤·¢³ö¹âµÄ²¨³¤Ëæ¼üÇ¿¶ÈÔöÇ¿¶øÔö´ó£¬Ò²¾ÍÊÇ·¢Éä¹âµÄÄÜÁ¿½µµÍ£¬ËùÒÔÊǺìÒÆ¡£

лл£¡£¬ÄãÊÇ×öÕâ¸ö·½ÏòµÄÂð£¿
8Â¥2025-08-11 09:07:26
ÒÑÔÄ   »Ø¸´´ËÂ¥   ¹Ø×¢TA ¸øTA·¢ÏûÏ¢ ËÍTAºì»¨ TAµÄ»ØÌû
¼òµ¥»Ø¸´
2025-08-09 23:02   »Ø¸´  
syh1977(½ð±Ò+1): лл²ÎÓë
tzynew3Â¥
2025-08-10 03:51   »Ø¸´  
syh1977(½ð±Ò+1): лл²ÎÓë
i ·¢×ÔСľ³æÊÖ»ú¿Í»§¶Ë
shenrenren4Â¥
2025-08-10 09:43   »Ø¸´  
syh1977(½ð±Ò+1): лл²ÎÓë
nono20096Â¥
2025-08-10 11:19   »Ø¸´  
syh1977(½ð±Ò+1): лл²ÎÓë
`
2025-08-10 11:20   »Ø¸´  
Ïà¹Ø°æ¿éÌø×ª ÎÒÒª¶©ÔÄÂ¥Ö÷ syh1977 µÄÖ÷Ìâ¸üÐÂ
×î¾ßÈËÆøÈÈÌûÍÆ¼ö [²é¿´È«²¿] ×÷Õß »Ø/¿´ ×îºó·¢±í
[¿¼ÑÐ] 335Çóµ÷¼Á +3 yuyuÓî 2026-03-23 4/200 2026-03-23 19:03 by macy2011
[¿¼ÑÐ] 298-Ò»Ö¾Ô¸Öйúũҵ´óѧ-Çóµ÷¼Á +10 ÊÖ»úÓû§ 2026-03-17 11/550 2026-03-23 16:30 by lingjue
[¿¼ÑÐ] 08¹¤Ñ§µ÷¼Á +7 Óû§573181 2026-03-20 11/550 2026-03-23 15:47 by ÎÒ°®Ñ§Ï°Ñ§Ï°Ê¹Î
[¿¼ÑÐ] ±±¿Æ281ѧ˶²ÄÁÏÇóµ÷¼Á +8 tcxiaoxx 2026-03-20 9/450 2026-03-23 12:16 by tcxiaoxx
[¿¼ÑÐ] 315·Ö£¬³ÏÇóµ÷¼Á£¬²ÄÁÏÓ뻯¹¤085600 +3 13756423260 2026-03-22 3/150 2026-03-22 20:11 by edmund7
[¿¼ÑÐ] 306Çóµ÷¼Á +5 À´ºÃÔËÀ´À´À´ 2026-03-22 5/250 2026-03-22 16:17 by BruceLiu320
[¿¼ÑÐ] 286Çóµ÷¼Á +10 Faune 2026-03-21 10/500 2026-03-21 23:34 by 314126402
[¿¼ÑÐ] ²ÄÁÏÇóµ÷¼Á +5 @taotao 2026-03-21 5/250 2026-03-21 20:55 by lbsjt
[¿¼ÑÐ] Ò»Ö¾Ô¸¶«»ª´óѧ¿ØÖÆÑ§Ë¶320Çóµ÷¼Á +3 Grand777 2026-03-21 3/150 2026-03-21 19:23 by ¼òÖ®-
[¿¼ÑÐ] 0703»¯Ñ§µ÷¼Á +4 ÄÝÄÝninicgb 2026-03-21 4/200 2026-03-21 18:39 by ѧԱ8dgXkO
[¿¼ÑÐ] 297Çóµ÷¼Á +3 ϲ»¶»¹ÊDz»¸ÊÐÄ 2026-03-20 3/150 2026-03-21 18:33 by ѧԱ8dgXkO
[¿¼ÑÐ] Çóµ÷¼Á +3 13341 2026-03-20 3/150 2026-03-21 18:28 by ѧԱ8dgXkO
[¿¼ÑÐ] 303Çóµ÷¼Á +5 î£08 2026-03-17 7/350 2026-03-21 03:11 by JourneyLucky
[¿¼ÑÐ] 299Çóµ÷¼Á +6 ¡÷С͸Ã÷* 2026-03-17 6/300 2026-03-21 02:42 by JourneyLucky
[¿¼ÑÐ] 265Çóµ÷¼Á +9 ÁºÁºÐ£Ð£ 2026-03-17 9/450 2026-03-21 02:17 by JourneyLucky
[¿¼ÑÐ] Ò»Ö¾Ô¸Î人Àí¹¤²ÄÁϹ¤³Ìר˶µ÷¼Á +9 Doleres 2026-03-19 9/450 2026-03-20 22:36 by JourneyLucky
[¿¼ÑÐ] Çóµ÷¼Á +3 @taotao 2026-03-20 3/150 2026-03-20 19:35 by JourneyLucky
[¿¼ÑÐ] 085410È˹¤ÖÇÄÜר˶317Çóµ÷¼Á£¨0854¶¼¿ÉÒÔ£© +4 xbxudjdn 2026-03-18 4/200 2026-03-20 09:07 by ²»168
[¿¼ÑÐ] ²ÄÁÏ¿¼Ñе÷¼Á +3 xwt¡£ 2026-03-19 3/150 2026-03-19 11:22 by wãåÑôw
[¿¼ÑÐ] ±¾¿ÆÖ£ÖÝ´óѧÎïÀíѧԺ£¬Ò»Ö¾Ô¸»ª¿Æ070200ѧ˶£¬346Çóµ÷¼Á +4 ÎÒ²»ÊÇÒ»¸ù´Ð 2026-03-18 4/200 2026-03-19 09:11 by ¸¡ÔÆ166
ÐÅÏ¢Ìáʾ
ÇëÌî´¦ÀíÒâ¼û