| 查看: 403 | 回复: 0 | ||
| 【悬赏金币】回答本帖问题,作者zzm要考研将赠送您 10 个金币 | ||
zzm要考研新虫 (小有名气)
|
[求助]
双氰胺固化环氧出现双峰,求大神赐教
|
|
|
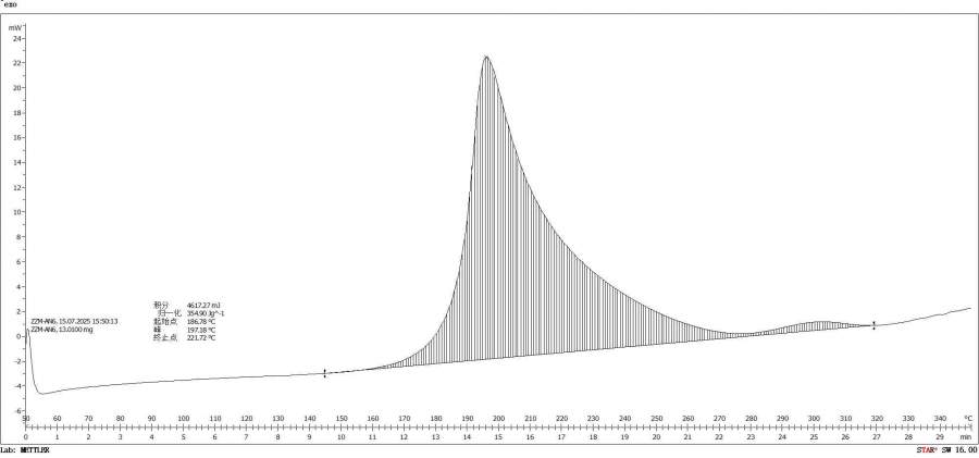
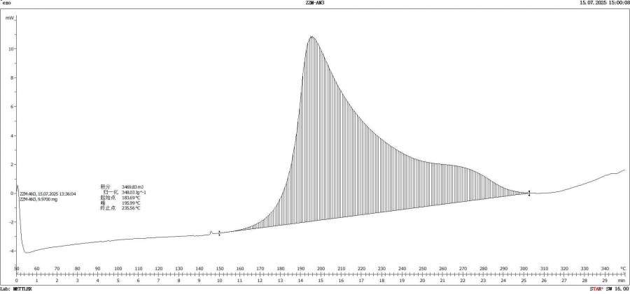
不同比例的双氰胺作为固化剂,这是测试的DSC曲线,峰位出现如图的情况,并不是一个单峰还有一个肩峰,而且随双氰胺量的增加出现第二个峰,个人分析认为是由于测试温度过高,固化后的树脂分解导致,求大神不吝赐教 发自小木虫手机客户端 |
» 猜你喜欢
单组份酸酐固化环氧胶的粘度稳定性
已经有6人回复
求助国家标准 JG/T 235-2014 建筑反射隔热涂料
已经有1人回复
有机高分子材料论文润色/翻译怎么收费?
已经有257人回复
一套材料电磁参数测试系统大约需要多少钱?
已经有2人回复
国内树枝状聚合物现在进入量产了吗?
已经有12人回复
球磨粉体时遇到了大的问题,请指教!
已经有1人回复
球磨粉体时遇到了大的问题,请指教!
已经有15人回复
西安科技大学国家级人才团队招收资源与环境专业、矿业工程专业硕士研究生
已经有0人回复
新疆大学材料学院招收调剂
已经有0人回复
西安科技大学国家级人才团队招收 资源与环境专业/矿业工程专业 硕士研究生
已经有0人回复













回复此楼
10