| ²é¿´: 4211 | »Ø¸´: 7 | ||
| ¡¾ÐüÉͽð±Ò¡¿»Ø´ð±¾ÌûÎÊÌ⣬×÷ÕßzzmÒª¿¼Ñн«ÔùËÍÄú 100 ¸ö½ð±Ò | ||
zzmÒª¿¼ÑÐгæ (СÓÐÃûÆø)
|
[ÇóÖú]
Ë«Çè°·¹Ì»¯»·ÑõÊ÷Ö¬³öÏÖÁ½¸ö·å£¬ÊÇ·Ö½âÁËÂð£¬Çó´óÉñ½â´ð ÒÑÓÐ3È˲ÎÓë
|
|
|
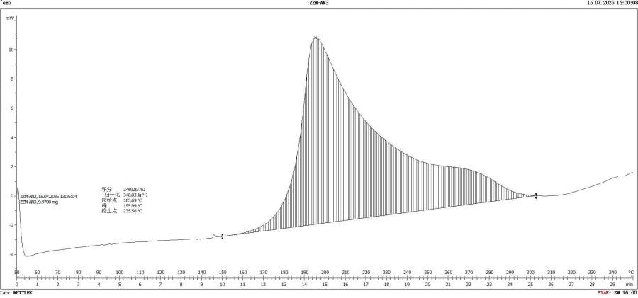
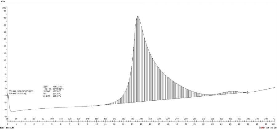
²»Í¬±ÈÀýµÄË«Çè°·×÷Ϊ¹Ì»¯¼Á£¬ÕâÊDzâÊÔµÄDSCÇúÏߣ¬·åλ³öÏÖÈçͼµÄÇé¿ö£¬²¢²»ÊÇÒ»¸öµ¥·å»¹ÓÐÒ»¸ö¼ç·å£¬¶øÇÒËæË«Çè°·Á¿µÄÔö¼Ó³öÏÖµÚ¶þ¸ö·å£¬¸öÈË·ÖÎöÈÏΪÊÇÓÉÓÚ²âÊÔζȹý¸ß£¬¹Ì»¯ºóµÄÊ÷Ö¬·Ö½âµ¼Ö£¬Çó´óÉñ²»Áß´Í½Ì ·¢×ÔСľ³æÊÖ»ú¿Í»§¶Ë |
» ²ÂÄãϲ»¶
Ò»Ö¾Ô¸»¦9£¬ÉúÎïѧ326Çóµ÷¼Á
ÒѾÓÐ3È˻ظ´
ҩѧÇóµ÷¼Á
ÒѾÓÐ10È˻ظ´
307ÖÐÒ½¿¼Ñе÷¼Á
ÒѾÓÐ3È˻ظ´
271Çóµ÷¼Á
ÒѾÓÐ31È˻ظ´
291Çóµ÷¼Á
ÒѾÓÐ4È˻ظ´
ɽ¶«Ê¡»ù½ð2026
ÒѾÓÐ11È˻ظ´
Ò»Ö¾Ô¸»ªÖÐũҵ071010£¬320Çóµ÷¼Á
ÒѾÓÐ10È˻ظ´
²ÄÁϹ¤³Ì281»¹Óе÷¼Á»ú»áÂð
ÒѾÓÐ43È˻ظ´
291Çóµ÷¼Á
ÒѾÓÐ5È˻ظ´
085801µçÆø×¨Ë¶272Çóµ÷¼Á
ÒѾÓÐ18È˻ظ´
qqsrjwh
½ð³æ (ÕýʽдÊÖ)
- Ó¦Öú: 47 (СѧÉú)
- ½ð±Ò: 732.4
- É¢½ð: 598
- ºì»¨: 13
- Ìû×Ó: 540
- ÔÚÏß: 170.7Сʱ
- ³æºÅ: 3932316
- ×¢²á: 2015-06-19
- רҵ: Ó¦Óø߷Ö×Ó»¯Ñ§ÓëÎïÀí
|
¸úË«Çè°·Ôö¼ÓÕýÏà¹Ø£¿ÊÇ·ñÓпÉÄÜÊǽϴֻòÍž۵ÄË«Çè·ÛÄ©´ïµ½ÆäÈÛµã±äΪҺÌåºóÓëδ·´Ó¦ÍêÈ«µÄ»·ÑõÊ÷Ö¬½Ó´¥£¬½øÒ»²½·´Ó¦ ·¢×ÔСľ³æÊÖ»ú¿Í»§¶Ë |
2Â¥2025-07-18 14:17:35
ewreiut
гæ (ÕýʽдÊÖ)
- Ó¦Öú: 3 (Ó×¶ùÔ°)
- ½ð±Ò: 1253.1
- É¢½ð: 130
- ºì»¨: 6
- Ìû×Ó: 428
- ÔÚÏß: 100.9Сʱ
- ³æºÅ: 1640643
- ×¢²á: 2012-02-24
- רҵ: ¸ß·Ö×Ó²ÄÁÏÓë»·¾³
3Â¥2025-07-19 01:44:42
zzmÒª¿¼ÑÐ
гæ (СÓÐÃûÆø)
- Ó¦Öú: 0 (Ó×¶ùÔ°)
- ½ð±Ò: 164.6
- É¢½ð: 62
- ɳ·¢: 1
- Ìû×Ó: 97
- ÔÚÏß: 50.6Сʱ
- ³æºÅ: 22001542
- ×¢²á: 2020-04-27
- רҵ: ¸ß·Ö×Ӻϳɻ¯Ñ§
|
¸Ðл´óÀнâ´ð£¬Í¼Æ¬ÊÇÓëË«Çè°·ÕýÏà¹Ø²âÊÔ³öµÄ½á¹û£¬Ëæ×ÅË«Çè°·ÓÃÁ¿µØÔö¼Ó£¬ÖмäÓÃÁ¿ÏûʧÁË£¬ºóÃæÓÖ³öÏÖÁË£¬·´Ó¦Î¶ȴﵽÁË300¶È£¬¿¼ÂÇ´ïµ½ÁËÊ÷Ö¬µÄ·Ö½âζȣ¬ÎÒÊÇÏëÕÒÒ»¸öË«Çè°·¼ÓÈëÄܹ»ÍêÈ«·´Ó¦µÄÁ¿£¬³öÏÖÕâ¸öÎÊÌâ̫ӰÏìÅжÏÁË ·¢×ÔСľ³æÊÖ»ú¿Í»§¶Ë |
4Â¥2025-07-19 06:30:18
zzmÒª¿¼ÑÐ
гæ (СÓÐÃûÆø)
- Ó¦Öú: 0 (Ó×¶ùÔ°)
- ½ð±Ò: 164.6
- É¢½ð: 62
- ɳ·¢: 1
- Ìû×Ó: 97
- ÔÚÏß: 50.6Сʱ
- ³æºÅ: 22001542
- ×¢²á: 2020-04-27
- רҵ: ¸ß·Ö×Ӻϳɻ¯Ñ§
|
¸Ðл´óÀнâ´ð£¬ÎÒÒ²¿¼ÂǹýÕâ¸öÎÊÌ⣬¼ç·åºÍ¸ßη´Ó¦·å³öÏÖÔÚ300¶à¶È£¬Î¶ȹý¸ßÁË ·¢×ÔСľ³æÊÖ»ú¿Í»§¶Ë |
5Â¥2025-07-19 06:31:30
mydream377
Òø³æ (СÓÐÃûÆø)
- Ó¦Öú: 3 (Ó×¶ùÔ°)
- ½ð±Ò: 1401.4
- É¢½ð: 9
- ºì»¨: 3
- Ìû×Ó: 136
- ÔÚÏß: 247.4Сʱ
- ³æºÅ: 1214847
- ×¢²á: 2011-02-27
- ÐÔ±ð: GG
- רҵ: ¸ß·Ö×ÓÎïÀíÓë¸ß·Ö×ÓÎïÀí»¯

6Â¥2025-07-26 23:05:25
kojofgh
ľ³æ (ÖªÃû×÷¼Ò)
- Ó¦Öú: 0 (Ó×¶ùÔ°)
- ½ð±Ò: 445.9
- É¢½ð: 2380
- Ìû×Ó: 8675
- ÔÚÏß: 60.5Сʱ
- ³æºÅ: 7976493
- ×¢²á: 2018-02-08
- רҵ: ʳƷ¼Ó¹¤¼¼Êõ
7Â¥2025-08-22 15:51:27
cai3wang
ͳæ (³õÈëÎÄ̳)
- Ó¦Öú: 0 (Ó×¶ùÔ°)
- ½ð±Ò: 690.8
- É¢½ð: 5
- Ìû×Ó: 22
- ÔÚÏß: 31.3Сʱ
- ³æºÅ: 2324191
- ×¢²á: 2013-03-06
- רҵ: ÂÌÉ«Óлú»¯Ñ§
¡¾´ð°¸¡¿Ó¦Öú»ØÌû
| Ó¦¸ÃÊDz»Í¬Ê÷Ö¬µÄ·´Ó¦Î¶ÈÓвîÒìµ¼Ö£¬´æÔÚÊ÷Ö¬ÈÚºÏÎÊÌâ»òÕß±ÈÀý£¬¶à¼ÓË«Çè°·»áµ¼Ö²»Í¬Ê÷Ö¬·´Ó¦Ê±¼äËõ¶Ì£¬ËùÒÔ±íÏÖ²îÒì»á¸ü´ó¡£ |
8Â¥2025-11-17 10:16:53














»Ø¸´´ËÂ¥