Znn3bq.jpeg
²é¿´: 1047  |  »Ø¸´: 14

135791yx@

гæ (СÓÐÃûÆø)


ÒÑÁìÍê
³¬µ¼´øÏ¶
ÁìÈ¡ºì°ü (Сľ³æÊÖ»úappרÊôºì°ü)

ɨһɨ£¬ÏÂÔØÐ¡Ä¾³æ¿Í»§¶Ë

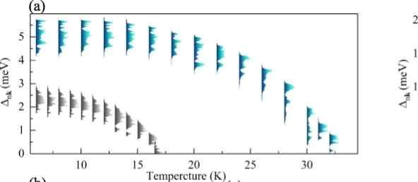
¼ÆËãÈçͼ¸÷ÏîÒìÐԵij¬µ¼´øÏ¶Ê±£¬Ëã³öÀ´µÄÊý¾ÝÐèÒª½øÐд¦ÀíÂ𣬻¹ÊDz»½øÐд¦ÀíÖ±½Ó»­Í¼¡£

Èç¹û»­³öÀ´µÄͼÀëÊÕÁ²ºÜÔ¶£¬ÊäÈëÎļþÖеÄnkfºÍnkfÍø¸ñµãÒ²ÃÜ£¬µ«ÊǾͲ»ÊÕÁ²£¬Ó¦¸ÃÔõô½â¾öÄØ

³¬µ¼´øÏ¶

·¢×ÔСľ³æÊÖ»ú¿Í»§¶Ë
»Ø¸´´ËÂ¥

» ²ÂÄãϲ»¶

» ÇÀ½ð±ÒÀ²£¡»ØÌû¾Í¿ÉÒԵõ½:

²é¿´È«²¿É¢½ðÌù

ÒÑÔÄ   »Ø¸´´ËÂ¥   ¹Ø×¢TA ¸øTA·¢ÏûÏ¢ ËÍTAºì»¨ TAµÄ»ØÌû

rlafite

ľ³æ (ÕýʽдÊÖ)


¡ï
Сľ³æ: ½ð±Ò+0.5, ¸ø¸öºì°ü£¬Ð»Ð»»ØÌû
superconducting gaps are not observable?

Êý¾Ý¿ÉÒÔÖ±½Ó»­£¬µ«Îª¸üÇåÎú½¨Òé×öÇá¶È²åÖµ»òƽ»¬¡£

Èç¹û gap ͼ²»ÊÕÁ²£¬¼´Ê¹Íø¸ñÒѾ­ÃÜÁË£¬³¢ÊÔ£º

Ôö¼Ó self-consistent µÄµü´ú´ÎÊý

¸Ä±ä smearing£¨degaussw£©

¼ì²é¶Ô³ÆÐÔÊÇ·ñÆôÓÃ

ÓÅ»¯ Wannier º¯ÊýÖÊÁ¿

Ôö¼ÓÄÜ´øÊý

¼ì²éÊÇ·ñÓÐÊýÖµÕðµ´£¨²»ºÏÀíµÄ¦¤(k)
15Â¥2025-06-17 00:29:27
ÒÑÔÄ   »Ø¸´´ËÂ¥   ¹Ø×¢TA ¸øTA·¢ÏûÏ¢ ËÍTAºì»¨ TAµÄ»ØÌû
¼òµ¥»Ø¸´
2025-06-16 13:23   »Ø¸´  
135791yx@(½ð±Ò+2): лл²ÎÓë
ÒÑ»ñµÃ2¸ö½ð±Ò ·¢×ÔСľ³æÊÖ»ú¿Í»§¶Ë
sct733Â¥
2025-06-16 13:23   »Ø¸´  
135791yx@(½ð±Ò+1): лл²ÎÓë
ÒÑ»ñµÃ1¸ö½ð±Ò ·¢×ÔСľ³æÊÖ»ú¿Í»§¶Ë
muchong8884Â¥
2025-06-16 13:23   »Ø¸´  
135791yx@(½ð±Ò+2): лл²ÎÓë
ÒÑ»ñµÃ2¸ö½ð±Ò ·¢×ÔСľ³æIOS¿Í»§¶Ë
nono20095Â¥
2025-06-16 13:27   »Ø¸´  
135791yx@(½ð±Ò+1): лл²ÎÓë
ÒÑ»ñµÃ1¸ö½ð±Ò ·¢×ÔСľ³æÊÖ»ú¿Í»§¶Ë
tzynew6Â¥
2025-06-16 13:29   »Ø¸´  
135791yx@(½ð±Ò+2): лл²ÎÓë
ÒÑ»ñµÃ2¸ö½ð±Ò ·¢×ÔСľ³æÊÖ»ú¿Í»§¶Ë
2025-06-16 13:32   »Ø¸´  
135791yx@(½ð±Ò+1): лл²ÎÓë
ÒÑ»ñµÃ1¸ö½ð±Ò ·¢×ÔСľ³æIOS¿Í»§¶Ë
sky11068Â¥
2025-06-16 13:36   »Ø¸´  
135791yx@(½ð±Ò+2): лл²ÎÓë
ÒÑ»ñµÃ2¸ö½ð±Ò ·¢×ÔСľ³æÊÖ»ú¿Í»§¶Ë
shuaige6669Â¥
2025-06-16 14:10   »Ø¸´  
135791yx@(½ð±Ò+1): лл²ÎÓë
ÒÑ»ñµÃ1¸ö½ð±Ò ·¢×ÔСľ³æÊÖ»ú¿Í»§¶Ë
fyun00110Â¥
2025-06-16 14:31   »Ø¸´  
135791yx@(½ð±Ò+1): лл²ÎÓë
ÒÑ»ñµÃ1¸ö½ð±Ò ·¢×ÔСľ³æÊÖ»ú¿Í»§¶Ë
2025-06-16 15:28   »Ø¸´  
135791yx@(½ð±Ò+2): лл²ÎÓë
ÒÑ»ñµÃ2¸ö½ð±Ò ·¢×ÔСľ³æÊÖ»ú¿Í»§¶Ë
zmzhou12Â¥
2025-06-16 15:33   »Ø¸´  
135791yx@(½ð±Ò+2): лл²ÎÓë
ÒÑ»ñµÃ2¸ö½ð±Ò ·¢×ÔСľ³æÊÖ»ú¿Í»§¶Ë
XG-WUST13Â¥
2025-06-16 15:36   »Ø¸´  
135791yx@(½ð±Ò+1): лл²ÎÓë
ÒÑ»ñµÃ1¸ö½ð±Ò ·¢×ÔСľ³æIOS¿Í»§¶Ë
2025-06-16 15:41   »Ø¸´  
135791yx@(½ð±Ò+2): лл²ÎÓë
ÒÑ»ñµÃ2¸ö½ð±Ò ·¢×ÔСľ³æIOS¿Í»§¶Ë
Ïà¹Ø°æ¿éÌø×ª ÎÒÒª¶©ÔÄÂ¥Ö÷ 135791yx@ µÄÖ÷Ìâ¸üÐÂ
×î¾ßÈËÆøÈÈÌûÍÆ¼ö [²é¿´È«²¿] ×÷Õß »Ø/¿´ ×îºó·¢±í
[¿¼ÑÐ] µ÷¼ÁÇóÊÕÁô +34 ¹ûÈ»ÓÐÎÒ 2026-04-10 35/1750 2026-04-15 13:05 by Î÷±±Íû¡ª·çɳ
[¿¼ÑÐ] »¯Ñ§070300 Çóµ÷¼Á +23 ¹þ¹þ¹þ^_^ 2026-04-12 23/1150 2026-04-14 16:30 by zhouxiaoyu
[¿¼ÑÐ] 366Çóµ÷¼Á +11 ²»ÖªÃûµÄСئ 2026-04-11 11/550 2026-04-14 15:50 by zs92450
[¿¼ÑÐ] 085408¹âµçÐÅÏ¢¹¤³Ìר˶355Ò»Ö¾Ô¸³¤´º¹â»úËùµ÷¼Á +6 Íõymaa 2026-04-13 13/650 2026-04-14 11:33 by Íõymaa
[¿¼ÑÐ] È˹¤ÖÇÄÜ320µ÷¼Á08¹¤À໹Óлú»áÂð +18 Õñ¡ªTZ 2026-04-10 19/950 2026-04-14 10:34 by screening
[¿¼ÑÐ] Ò»Ö¾Ô¸¹þ¹¤´ó 085600 277 12²Ä¿Æ»ùÇóµ÷¼Á 5+5 chenny174 2026-04-10 37/1850 2026-04-14 07:39 by Abskk
[¿¼ÑÐ] Çóµ÷¼Á +3 ÎÒ°®¸ßÊý¸ßÊý°®Î 2026-04-12 3/150 2026-04-14 01:00 by Íõ¬Bè±
[¿¼ÑÐ] Çóµ÷¼Á +12 Á§ÜÔÒ»¶¨Éϰ¶ 2026-04-10 13/650 2026-04-14 00:08 by Equinoxhua
[¿¼ÑÐ] Ò»Ö¾Ô¸0807 ÊýÒ»Ó¢Ò» 313 ÓÐûÓжþÂÖµ÷¼Á +12 emokidd 2026-04-08 13/650 2026-04-13 08:32 by lhj2009
[¿¼ÑÐ] 0854µ÷¼Á +12 ³¤¹­°Á 2026-04-09 13/650 2026-04-12 09:56 by ÄæË®³Ë·ç
[¿¼ÑÐ] Çóµ÷¼Á£¬Ò»Ö¾Ô¸²ÄÁÏ¿ÆÑ§Ó빤³Ì985£¬365·Ö£¬ +8 ²Ä»¯Àî¿É 2026-04-11 10/500 2026-04-12 08:42 by 852137818
[¿¼ÑÐ] ²ÄÁÏÓ뻯¹¤300Çóµ÷¼Á +39 Ф¿ªÎÄ 2026-04-09 43/2150 2026-04-12 01:30 by Çï¶¹²ËÑ¿
[¿¼ÑÐ] ҩѧר˶µ÷¼Á +8 ? һ·Éú?»¨? 2026-04-10 10/500 2026-04-11 21:21 by zhouxiaoyu
[¿¼ÑÐ] 343Çóµ÷¼Á +9 Íõ¹ú˧ 2026-04-10 9/450 2026-04-11 20:31 by dongdian1
[¿¼ÑÐ] 085400 328·Ö Çóµ÷¼Á +10 ιÄãÒ»¸ö´ó³È×Ó 2026-04-09 14/700 2026-04-11 19:53 by lqspecial
[¿¼ÑÐ] 283Çóµ÷¼Á +22 ÄǸöàà×Ó 2026-04-09 22/1100 2026-04-11 10:41 by ÄæË®³Ë·ç
[¿¼ÑÐ] 087100³õÊÔ311Çóµ÷¼Á +4 ÈÎÑÅÇÙ 2026-04-09 4/200 2026-04-11 10:33 by zhq0425
[¿¼ÑÐ] 297Çóµ÷¼Á +9 Kwgyz 2026-04-09 9/450 2026-04-11 10:09 by zhq0425
[¿¼ÑÐ] 289 ·Ö105500ҩѧר˶Çóµ÷¼Á(ÕÒBÇøÑ§Ð£) +6 °×ÔÆ123456789 2026-04-09 8/400 2026-04-10 21:13 by zhouxiaoyu
[¿¼ÑÐ] 349ѧ¿Æ»¯Ñ§045106Çóµ÷¼Á£¬»¯Ñ§Àà¶¼¿ÉÒÔ +8 ±£ºÃ¶®¶® 2026-04-08 8/400 2026-04-09 14:03 by xulei3024
ÐÅÏ¢Ìáʾ
ÇëÌî´¦ÀíÒâ¼û