| 查看: 892 | 回复: 0 | ||
| 【悬赏金币】回答本帖问题,作者苗么么么将赠送您 20 个金币 | ||
[求助]
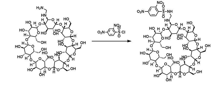
单6乙二胺基6去氧β环糊精的修饰
|
||
|
2,4-二硝基苯磺酰氯与单6乙二胺基6去氧β环糊精溶于DMSO,又加入三乙胺作为催化剂,反应过夜,透析冻干之后,产物几乎很少接近没有 发自小木虫手机客户端 |
» 猜你喜欢
招收生物学/细胞生物学调剂
已经有5人回复
300求调剂,材料科学英一数二
已经有7人回复
070305高分子化学与物理 304分求调剂
已经有7人回复
289求调剂
已经有13人回复
299求调剂
已经有7人回复
一志愿哈尔滨工业大学材料与化工方向336分
已经有9人回复
081200-11408-276学硕求调剂
已经有6人回复
调剂求院校招收
已经有5人回复
调剂310
已经有8人回复
一志愿北京理工大学本科211材料工程294求调剂
已经有5人回复














回复此楼