| ²é¿´: 861 | »Ø¸´: 0 | |||
¿ÆÑÐСÕì̽001гæ (³õÈëÎÄ̳)
|
[½»Á÷]
Àâ¾µñîºÏÒÇÔÀí½éÉÜ£ºÈ«·´ÉäÓë¹âѧËíµÀЧӦÔÀí
|
|
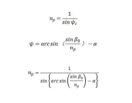
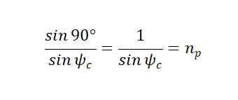
Èç½ñ£¬ÏÖ´ú¿Æ¼¼Ñ¸ËÙ·¢Õ¹£¬¼¤¹â¼¼ÊõºÍ¹âѧÒÇÆ÷¹ã·ºÓ¦ÓÃÓÚ¸÷¸öÁìÓò£¬¹âµÄ²âÁ¿ºÍ¾«È·¿ØÖƱز»¿Éȱ¡£ÔÚ¹âѧÁìÓòÖУ¬Àâ¾µñîºÏÒÇÊÇÒ»¸ö·Ç³£ÖØÒªµÄÒÇÆ÷£¬Ö÷ÒªÓÃÓÚ²âÁ¿ÑùÆ·µÄÕÛÉäÂÊ¡¢Ä¤ºñ¡¢²¨µ¼ËðºÄ¡¢É«É¢ÄâºÏµÈ¹âÑ§ÌØÐÔ¡£ ±¾ÎĽ«½éÉÜÀâ¾µñîºÏÒǵÄÔÀíºÍÓ¦ÓᣠÀâ¾µñîºÏÒǵŤ×÷ÔÀí»ùÓÚ¹âµÄÈ«·´ÉäЧӦºÍ¹âѧËíµÀЧӦ¡£Òò´Ë£¬ÔÚ½éÉÜÀâ¾µñîºÏµÄ¹¤×÷ÔÀíǰ£¬ÎÒÃÇÐèÒªÏÈÁ˽âÁ½¸öÖØÒªµÄÎïÀí֪ʶ£º¹âµÄÈ«·´ÉäЧӦ¡¢¹âѧËíµÀЧӦ¡£ ÀûÓÃÈ«·´ÉäÔÀí²âÁ¿ÕÛÉäÂÊ 1. ʲôÊÇÕÛÉäÂÊ£¿ ÕÛÉäÂÊÊÇÒ»¸öÎïÌå¶Ô¹âµÄ¡°×èµ²¡±ÄÜÁ¦µÄÖ¸±ê¡£¼òµ¥À´Ëµ£¬¹âÔÚ²»Í¬ÎïÖÊÖд«²¥µÄËٶȲ»Ò»Ñù¡£±ÈÈ磬¹âÔÚ¿ÕÆøÖд«²¥ËٶȺܿ죬µ«ÔÚ²£Á§Àï¾Í»á±äÂý£¬ÒòΪ²£Á§µÄÕÛÉäÂÊ±È¿ÕÆø¸ß¡£ÕÛÉäÂÊ¿ÉÒÔ°ïÖúÎÒÃÇÁ˽â¹âÔÚ²»Í¬ÎïÖÊÖеÄÐÐΪ¡£ 2. ʲôÊÇÈ«·´É䣿 µ±¹â´ÓÒ»¸öÕÛÉäÂʽϸߵÄÎïÖÊ£¨±ÈÈç²£Á§£©ÉäÏòÕÛÉäÂʽϵ͵ÄÎïÖÊ£¨±ÈÈç¿ÕÆø£©Ê±£¬Èç¹ûÈëÉä½Ç£¨¹âÉä¹ýÀ´µÄ½Ç¶È£©³¬¹ýÒ»¸öÌØ¶¨µÄÖµ£¨½ÐÁÙ½ç½Ç£©£¬¹â¾Í»áÈ«²¿·´Éä»ØÈ¥£¬Ã»ÓйâÄܽøÈëÕÛÉäÂʽϵ͵ÄÎïÖÊ¡£Õâ¸öÏÖÏó¾Í½ÐÈ«·´Éä¡£ 3.ÈçºÎÀûÓÃÈ«·´Éä²âÁ¿ÕÛÉäÂÊ£¿ ¸ù¾ÝÕÛÉ䶨ÂÉ£º ¿ÉÖª£¬Ö»Ðè²â³öÈ«·´ÉäµÄÁÙ½ç½Ç ¦×c£¬±ã¿ÉÇóµÃÑùÆ·µÄÕÛÉäÂÊ¡£ Éè´ý²âÀâ¾µÕÛÉäÂÊΪ nₚ£¬¦Á ΪÀâ¾µµ×½Ç£¬¶ÔÓÚµÈÑüÈý½ÇÀâ¾µ£¬ÒÔÈëÉä¹â´¹Ö±Àâ¾µÑüÃæÎªÆðʼÈëÉäµã£¬¦Â₀ Ϊ¹âÔÚÀâ¾µÑüÃæÉϵÄÈëÉä½Ç¡£µ±²âÁ¿ÏµÍ³Ë³Ê±Õëת¶¯À⾵ʱ£¬Ì½²âÆ÷¸ÐÓ¦µÄ¹âÇ¿ÓëÀâ¾µÐýתµÄ½Ç¶È¿ÉÒÔ»æÖƳÉÉÏÊöÀíÂÛÇúÏߣ¬ÆäÖÐ ¦Â₀ ΪÀâ¾µµ×Ãæ·¢ÉúÈ«·´ÉäʱµÄÈëÉä½Ç£¬ÔòÀâ¾µÕÛÉäÂʵļÆË㹫ʽΪ£º ¹âѧËíµÀЧӦ ÔÚÁ¿×ÓÁ¦Ñ§ÀÓÐÒ»¸öºÜÓÐȤµÄÏÖÏó½ÐËíµÀЧӦ£¬Ò²¿ÉÒÔ½ÐÊÆÀÝ´©Í¸¡£µ±ÈëÉä½Ç³¬¹ýÈ«·´ÉäÁÙ½ç½Ç£¬¹â͸¹ý½éÖʽøÈëÁíÒ»ÖÖ½éÖÊ£¬ÕâÒ»ÏÖÏó¾Í³ÆÎª¹âѧËíµÀЧӦ¡£ ÏëÏóһϣ¬ÓÐÒ»Êø¹â´ÓÒ»ÖÖ͸Ã÷µÄ²ÄÁÏ£¨±ÈÈç²£Á§£¬ËüµÄÕÛÉäÂÊÊÇ n₁£©ÉäÏòÁíÒ»ÖÖ͸Ã÷²ÄÁÏ£¨±ÈÈç¿ÕÆø£¬ËüµÄÕÛÉäÂÊÊÇ n₂£©¡£µ±¹â´Ó²£Á§ÉäÏò¿ÕÆøµÄʱºò£¬»á·¢Éú·´ÉäºÍÕÛÉä¡£ÕÛÉäÂÊ´óµÄ²ÄÁϽйâÃܽéÖÊ£¬ÕÛÉäÂÊСµÄ½Ð¹âÊè½éÖÊ¡£Èç¹û¹âµÄÈëÉä½Ç¶È£¨¾ÍÊǹâÉä¹ýÀ´µÄ½Ç¶È£©´óÓÚÒ»¸öÌØÊâµÄ½Ç£¨½ÐÈ«·´ÉäÁÙ½ç½Ç£©£¬ÄÇô¹â¾ÍÎÞ·¨½øÈë¿ÕÆø£¬È«²¿·´É仨²£Á§ÀÕâ¾ÍÊÇÈ«·´ÉäÏÖÏó¡£ Èç¹ûÎÒÃÇÔÚÕâ¸ö¿ÕÆøÀïÔÙ·ÅÒ»¿é͸Ã÷µÄ±¡Æ¬£¨ËüµÄÕÛÉäÂÊÊÇ n₃ £¬±È¿ÕÆøµÄÕÛÉäÂÊ n₂ ´ó£©£¬²¢ÇÒÈÃÕâ¿é±¡Æ¬µÄ±íÃæºÍ²£Á§Óë¿ÕÆøµÄ½çÃæÆ½ÐУ¬¶øÇÒ¾àÀëºÜ½ü£¨´ó¸ÅºÍ¹âµÄ²¨³¤²î²»¶à£©£¬ÄÇô¾Í»á³öÏÖºÜÉñÆæµÄÊÂÇ飺ËäÈ»¹âÔÚÈ«·´Éäʱ¿´ÆðÀ´Ã»ÓнøÈë¿ÕÆø£¬µ«Êµ¼ÊÉÏ£¬»áÓÐÒ»²¿·Ö¹âµÄÄÜÁ¿¡°´©Í¸¡±¿ÕÆø£¬½øÈëÄǿ鱡ƬÀï¡£ÕâÖÖÏÖÏó¾ÍÏñÊǹâÔÚ¡°ËíµÀ¡±Àï´©ÐÐÒ»Ñù£¬ËùÒԽйâѧËíµÀЧӦ¡£ ÕâÖÖÏÖÏóÔÚ΢¹ÛÊÀ½çÀïºÜ³£¼û£¬¾ÍÏñÒ»¸öÁ£×Ó±¾À´±»Ò»¸öºÜ¸ßµÄÊÆÀݵ²×¡ÁË£¬°´Àí˵Ëü¹ý²»È¥£¬µ«ÒòΪÁ¿×ÓÁ¦Ñ§µÄÆæÃî¹æÔò£¬ËüÈ´ÄÜ´©¹ýÊÆÀݵ½ÁíÒ»±ßÈ¥¡£¹âѧËíµÀЧӦҲÊÇÀàËÆµÄÔÀí£¬¹âµÄÄÜÁ¿ËäÈ»¿´ÆðÀ´±»µ²×¡ÁË£¬µ«Êµ¼ÊÉÏ»¹ÊÇÄÜ´©Í¸¹ýÈ¥¡£ ¹úÄÚ¼¼ÊõÍ»ÆÆÓëÓ¦Óà ÔÚ¹âѧÁìÓò£¬Àâ¾µñîºÏÒÇÊǺÜÖØÒªµÄÉ豸£¬ËüÄܹ»½«¼¤¹â¸ßЧµØñîºÏ½øÈ뱡Ĥ²¨µ¼ÖС£ÕâÖÖ¼¼Êõ²»½öÄܹ»ÊµÏÖ¹âµÄ¾«È·²Ù¿Ø£¬»¹ÄÜÔÚ¹¦ÂÊ·ÖÅä²âÁ¿¡¢¹âÊøÖÊÁ¿·ÖÎö¡¢¹âµÄ¸ÉÉæ²âÁ¿¡¢¹âµÄµ÷ÖÆºÍ½âµ÷µÈ¶à¸ö·½Ãæ·¢»ÓÖØÒª×÷Óá£È»¶ø£¬³¤ÆÚÒÔÀ´£¬ÎÒ¹úÀâ¾µñîºÏÒǵÄÐèÇóÖ÷ÒªÒÀÀµÓÚÃÀ¹úºÍº«¹úÁ½¸ö¹ú¼ÒµÄ½ø¿Ú£¬Õâ²»½öÏÞÖÆÁ˹úÄÚÏà¹Ø¼¼ÊõµÄ·¢Õ¹£¬Ò²¸ø¹úÄÚ¿ÆÑк͹¤ÒµÓ¦ÓôøÀ´ÁËÖî¶à²»±ã¡£ ½üÄ꣬ÉîÛÚµÄÒ»¼Ò¿Æ¼¼¹«Ë¾×ÔÖ÷Ñз¢ÁËÀâ¾µñîºÏÒÇ£¬´òÆÆÁËÒÀÀµ¹úÍâ½ø¿ÚµÄ¾ÖÃæ¡£ ¾ÝÁ˽⣬ÆôÑï¹âÑ§ÍÆ³öµÄ optoprism ϵÁÐÀâ¾µñîºÏÒDz»½öÄܾ«È·²âÁ¿²ÄÁϵÄÕÛÉäÂÊ¡¢Ä¤ºñ¡¢²¨µ¼ËðºÄ¡¢É«É¢ÄâºÏµÈ¹âѧ²ÎÊý£¬¶øÇÒÄÜͬʱ²âÁ¿ÕÛÉäÂʺÍĤºñ£¬Æä²âÁ¿¾«¶È¸ß´ï¡À0.0005£¬ÕâÒ»¾«¶ÈˮƽÓëÃÀ¹úͬÀà²úÆ·Ï൱£¬±êÖ¾×ŹúÄÚÔÚ¹âѧ²âÁ¿É豸ÁìÓòÈ¡µÃÁËÖØ´óÍ»ÆÆ¡£ ÖµµÃÒ»ÌáµÄÊÇ£¬optoprism ϵÁеIJ¨³¤²âÁ¿·¶Î§¹ã·º£¬×î¶Ì¿É´ïµ½ 266 nm£¬ÃÀ¹úͬÀà²úÆ·×î¶Ì¹¤×÷²¨³¤405 nm£¬¶øº«¹úͬÀà²úÆ·×îµÍ¹¤×÷²¨³¤632.8 nm£¬ÕâʹµÃ¹úÄÚ²úÆ·ÔÚ³¬±¡Ä¤ºÍÄÉÃײÄÁϵIJâÁ¿ÖоßÓÐÏÔÖøÓÅÊÆ¡£¾ÝС±àÁ˽⣬¸ÃÉ豸ÒѾÓйúÄÚ¸ßУºÍ¿ÆÑе¥Î»²É¹ºÓÃÓÚ¸÷ÖÖÇ°ÑØÑо¿ÏîÄ¿ÖС£ ×ܵÄÀ´Ëµ£¬ÆôÑï¹âѧµÄ optoprismϵÁÐ Àâ¾µñîºÏÒDz»½öÌî²¹Á˹úÄÚÔÚÀâ¾µñîºÏÒÇÁìÓòµÄ¿Õ°×£¬»¹Îª¹úÄÚ¿ÆÑк͹¤ÒµÓ¦ÓÃÌṩÁ˸ü¼Ó¸ßЧ¡¢¿É¿¿µÄ½â¾ö·½°¸£¬Íƶ¯Á˹úÄÚ¹âѧ²âÁ¿¼¼ÊõµÄ·¢Õ¹¡£ ÒÔÉϾÍÊÇÀâ¾µñîºÏÒǵŤ×÷ÔÀí½éÉÜ£¬Ð¡±àÍøÂçÊÕ¼¯ÕûÀí£¬½ö¹©´ó¼Ò²Î¿¼Å¶£¬Èç¹û»¹ÓÐÏëÁ˽âµÄ£¬»¶ÓÆÀÂÛÇøÁôÑÔ~ ·¢×ÔСľ³æÊÖ»ú¿Í»§¶Ë |
» ²ÂÄãϲ»¶
Ò»Ö¾Ô¸Î÷±±Å©ÁÖ¿ØÖƹ¤³Ì£¬Ï£ÍûÄܵ÷¼Á³É¹¦
ÒѾÓÐ0È˻ظ´
ºÓÄÏÀí¹¤´óѧԤ¼Æ½ÓÊÕ¹¤Ñ§µ÷¼ÁÑо¿Éú4ÔÂ10¸´ÊÔ
ÒѾÓÐ1È˻ظ´
Ò±½ðÓë¿óÒµÂÛÎÄÈóÉ«/·ÒëÔõôÊÕ·Ñ?
ÒѾÓÐ84È˻ظ´
Çà»ù×îºóÒ»Ä꣬Æí¸£ÇóºÃÔË£¡
ÒѾÓÐ51È˻ظ´
µç»¯Ñ§²ÄÁÏsciÖúÁ¦
ÒѾÓÐ0È˻ظ´
ÇóÖúһЩ¿óÒµÀàÁìÓò²»ÊÕ°æÃæ·Ñ»ò°æÃæ·ÑµÍµÄÆÚ¿¯
ÒѾÓÐ5È˻ظ´
273Çóµ÷¼Á
ÒѾÓÐ4È˻ظ´
±¾¿ÆÌ«ÔÀí¹¤²É¿ó¹¤³Ì£¬Çóµ÷¼Á
ÒѾÓÐ4È˻ظ´














»Ø¸´´ËÂ¥
