| 查看: 1278 | 回复: 3 | ||
| 【悬赏金币】回答本帖问题,作者LeeYP798将赠送您 5 个金币 | ||
[求助]
对我装的扣电的cv曲线很疑惑,求指教
|
||
|
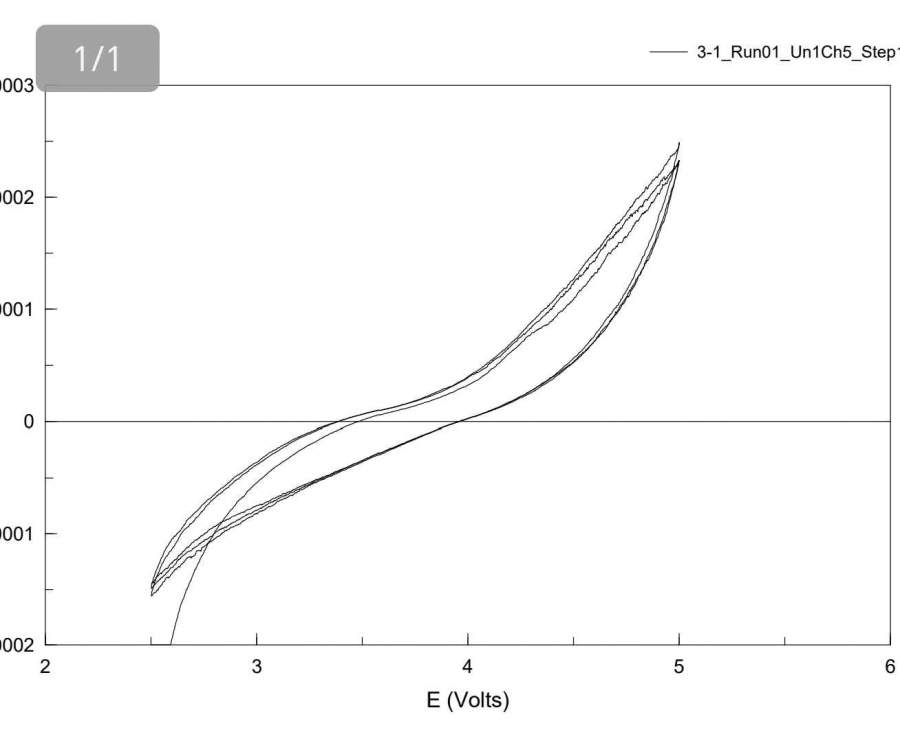
第一张图是我装的,但是文献是这种有明显的峰才对啊,怎么样才能跑出图2这种呢? 我的扣电参数 正极 LFP+PVDF+SP 负极金属锂 参数,0.5mV/s,2.5—5V之间 发自小木虫Android客户端 |
» 猜你喜欢
青岛大学化学化工学院2026年招收调剂硕士研究生
已经有0人回复
2026年宁波工程学院招收硕士研究生(调剂)
已经有6人回复
分析化学论文润色/翻译怎么收费?
已经有84人回复
山东科技大学(省属重点一本)泰山学者团队招收研究生调剂3-5名,新能源与新材料方向
已经有7人回复
生物与医药专业硕士调剂(河北大学 化学与材料科学学院)
已经有33人回复
河北大学分析化学招收多名调剂考生
已经有31人回复
【2026博士申请】化学、电池、材料
已经有1人回复
杰青/长江团队招收硕士调剂
已经有4人回复
青岛大学化学化工学院2026年招收调剂硕士研究生
已经有0人回复
材料科学与工程 或 材料与化工(专硕)调剂 要求:初试考408
已经有0人回复
298分 070300求调剂
已经有9人回复
小研虫.....
新虫 (小有名气)
- 应助: 0 (幼儿园)
- 金币: 117.9
- 散金: 150
- 帖子: 131
- 在线: 13小时
- 虫号: 28406049
- 注册: 2022-02-21
- 性别: GG
- 专业: 电化学
2楼2024-11-25 18:57:27
开玩啦
木虫 (小有名气)
- 应助: 0 (幼儿园)
- 金币: 3330.7
- 散金: 1000
- 帖子: 86
- 在线: 163.6小时
- 虫号: 1112350
- 注册: 2010-10-01
- 性别: GG
- 专业: 电化学
3楼2024-11-28 08:55:10
|
本帖内容被屏蔽 |
4楼2024-12-04 14:47:13














回复此楼