24小时热门版块排行榜    

Znn3bq.jpeg
查看: 1292  |  回复: 14

半夜去喂猪

新虫 (初入文坛)


已领完
boltztrap计算
领取红包 (小木虫手机app专属红包)

扫一扫,下载小木虫客户端

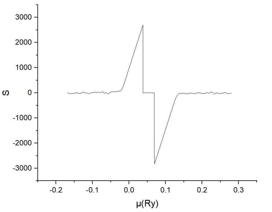
使用boltztrap计算单层二维材料时,塞贝克系数随化学势变化会出现一段塞贝克为0的情况,从而导致ZT值有一段没有值,算块体又没有这种情况,希望各位前辈帮助一下

boltztrap计算


boltztrap计算-1


发自小木虫Android客户端
回复此楼

» 猜你喜欢

» 本主题相关商家推荐: (我也要在这里推广)

» 抢金币啦!回帖就可以得到:

查看全部散金贴

已阅   回复此楼   关注TA 给TA发消息 送TA红花 TA的回帖

半夜去喂猪

新虫 (初入文坛)


各位前辈,请指点一下
11楼2024-10-17 15:47:13
已阅   回复此楼   关注TA 给TA发消息 送TA红花 TA的回帖
简单回复
echo19942楼
2024-10-17 11:07   回复  
半夜去喂猪(金币+2): 谢谢参与
已获得2个金币 发自小木虫Android客户端
nono20093楼
2024-10-17 11:07   回复  
半夜去喂猪(金币+1): 谢谢参与
已获得1个金币 发自小木虫Android客户端
XG-WUST4楼
2024-10-17 11:17   回复  
半夜去喂猪(金币+5): 谢谢参与
已获得5个金币 发自小木虫IOS客户端
tzynew5楼
2024-10-17 11:28   回复  
半夜去喂猪(金币+4): 谢谢参与
已获得4个金币 发自小木虫Android客户端
小辰子6楼
2024-10-17 11:56   回复  
半夜去喂猪(金币+1): 谢谢参与
已获得1个金币 发自小木虫Android客户端
2024-10-17 12:13   回复  
半夜去喂猪(金币+4): 谢谢参与
已获得4个金币 发自小木虫Android客户端
2024-10-17 12:19   回复  
半夜去喂猪(金币+1): 谢谢参与
已获得1个金币 发自小木虫Android客户端
xxy9282159楼
2024-10-17 13:25   回复  
半夜去喂猪(金币+3): 谢谢参与
已获得3个金币 发自小木虫Android客户端
2024-10-17 14:07   回复  
半夜去喂猪(金币+2): 谢谢参与
已获得2个金币 发自小木虫Android客户端
2024-10-17 18:47   回复  
半夜去喂猪(金币+1): 谢谢参与
已获得1个金币 发自小木虫Android客户端
高新顺13楼
2024-10-18 07:36   回复  
半夜去喂猪(金币+2): 谢谢参与
已获得2个金币 发自小木虫Android客户端
2024-10-18 07:41   回复  
半夜去喂猪(金币+3): 谢谢参与
已获得3个金币 发自小木虫Android客户端
gordon39915楼
2024-10-18 08:48   回复  
半夜去喂猪(金币+1): 谢谢参与
已获得1个金币 发自小木虫Android客户端
相关版块跳转 我要订阅楼主 半夜去喂猪 的主题更新
普通表情 高级回复 (可上传附件)
最具人气热帖推荐 [查看全部] 作者 回/看 最后发表
[考博] 现在不知道怎么办,感觉很痛苦 +5 qweww 2026-05-11 6/300 2026-05-16 19:57 by Equinoxhua
[基金申请] 请问大佬b0816评完了吗 +4 市民华南虎 2026-05-12 8/400 2026-05-16 19:54 by Equinoxhua
[基金申请] 重磅!青年科学基金项目(C类)资助增幅预计超过50% +6 水和泥不是水泥 2026-05-13 8/400 2026-05-16 19:50 by Equinoxhua
[博后之家] 售SCI一区T0P文章,我:8.O.5.5.1.O.5.4,科目齐全,可+急 +3 k37jurhrau 2026-05-16 3/150 2026-05-16 19:10 by j6b2pdz07o
[论文投稿] 售SCI一区T0P文章,我:8.O.5.5.1.O.5.4,科目齐全,可+急 +3 ky2p12rrjj 2026-05-15 4/200 2026-05-16 18:45 by j6b2pdz07o
[考研] 售SCI一区T0P文章,我:8.O.5.5.1.O.5.4,科目齐全,可+急 +3 x0mp7owy2b 2026-05-15 3/150 2026-05-16 17:55 by j6b2pdz07o
[论文投稿] 售SCI一区T0P文章,我:8.O.5.5.1.O.5.4,科目齐全,可+急 +3 x0mp7owy2b 2026-05-15 3/150 2026-05-16 17:50 by j6b2pdz07o
[公派出国] 售SCI一区T0P文章,我:8.O.5.5.1.O.5.4,科目齐全,可+急 +5 l7k6xnh0yc 2026-05-14 5/250 2026-05-16 16:35 by x28q7dxf75
[考研] 售SCI一区T0P文章,我:8.O.5.5.1.O.5.4,科目齐全,可+急 +5 cjf4bx70cj 2026-05-14 6/300 2026-05-16 16:17 by 0i5p09z61n
[硕博家园] 考博自荐 +3 科研狗111 2026-05-13 4/200 2026-05-16 11:45 by 科研狗111
[硕博家园] 售SCI一区T0P文章,我:8.O.5.5.1.O.5.4,科目齐全,可+急 +4 cjf4bx70cj 2026-05-14 6/300 2026-05-16 11:16 by h3oerqvkv9
[文学芳草园] 裁员滚滚,退居二线 +4 J_wei 2026-05-10 4/200 2026-05-16 10:52 by zh10246
[考博] 2026博士还有哪些学校有名额 +5 小王求读研 2026-05-15 6/300 2026-05-16 10:44 by a4742549
[基金申请] 这年头没有找到涵评专家,还有中面上的可能吗 +11 dd921ww 2026-05-12 13/650 2026-05-16 09:16 by Howard28
[硕博家园] 售SCI一区T0P文章,我:8.O.5.5.1.O.5.4,科目齐全,可+急 +4 l7k6xnh0yc 2026-05-14 5/250 2026-05-16 04:29 by k37jurhrau
[找工作] 售SCI一区T0P文章,我:8.O.5.5.1.O.5.4,科目齐全,可+急 +3 l7k6xnh0yc 2026-05-14 3/150 2026-05-16 01:49 by k37jurhrau
[教师之家] 上海大学实验技术岗位非升即走 +5 嘻嘻哈哈乐呵呵 2026-05-15 5/250 2026-05-16 00:17 by caiyun
[考博] 26应届毕业生考博求助 +3 wo一定上岸 2026-05-13 3/150 2026-05-14 21:47 by 明海天涯
[考博] 材料类只有一篇综述能申博么 +4 乐逍遥谷 2026-05-13 4/200 2026-05-14 12:05 by zhyzzh
[论文投稿] 求助大佬sci投稿哪个好中 +3 江沅188 2026-05-12 4/200 2026-05-13 14:35 by 江沅188
信息提示
请填处理意见