| ²é¿´: 846 | »Ø¸´: 0 | ||
| ¡¾ÐüÉͽð±Ò¡¿»Ø´ð±¾ÌûÎÊÌ⣬×÷Õß²ËÄñÇó´ø.½«ÔùËÍÄú 30 ¸ö½ð±Ò | ||
²ËÄñÇó´ø.гæ (СÓÐÃûÆø)
|
[ÇóÖú]
¼ÆËãµÄKNNÄÜ´ø½á¹¹ºÍ̬ÃܶȺÍÎÄÏ×Öв»Ïà·ûÊÇʲôÔÒò
|
|
|
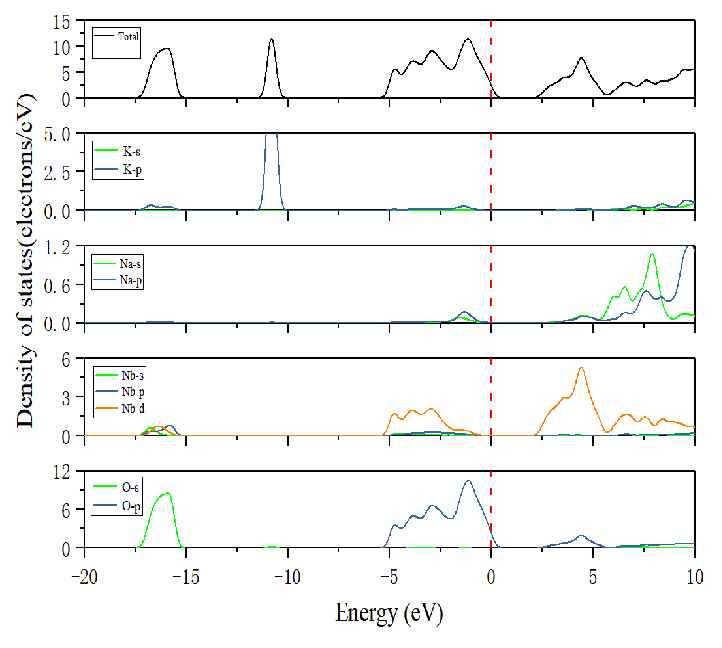
ͼƬǰÁ½ÕÅΪÎÄÏ×Ëù¸øµÄ̬ÃܶȺÍÄÜ´ø½á¹¹£¬ÏÔʾΪֱ½Ó´øÏ¶°ëµ¼Ì壬¸¥Ã×Äܼ¶ÒÔÉÏÔÚ5eV×óÓÒÓÐÁ½¸ö·å£» ºóÃæÊÇÎÒ×Ô¼ºËãµÄÄÜ´ø½á¹¹ºÍ̬Ãܶȣ¬ÏÔʾΪ¼ä½Ó´øÏ¶°ëµ¼Ì壬¸¥Ã×Äܼ¶ÒÔÉÏÔÚ5-20eVÓкܶà·å£» ×îºóÊÇÎÒ×Ô¼ºÉèÖõIJÎÊý ÎÄÏ×ÖÐËù¸ø¼ÆËã²ÎÊýΪ½Ø¶ÏÄÜ550eV£¬ÄÜÁ¿ÊÕÁ²Îª10µÄ-7´Î·½£¬kµãÍøÂçΪ5x5x5,²ÉÓþ§Ìå½á¹¹ÎªÔÚ1x2x1µÄKNbO3³¬°ûÖÐÌæ»»1¸öKÔ×ӵõ½µÄK0.5Na0.5NbO3½á¹¹£¬ ÇëÎÊÓдóÀÐÖªµÀÔÒòÂð ·¢×ÔСľ³æAndroid¿Í»§¶Ë |
» ²ÂÄãϲ»¶
¿ÒÇëÓÐѧУÊÕÁô
ÒѾÓÐ6È˻ظ´
Çóµ÷¼ÁÍÆ¼ö
ÒѾÓÐ8È˻ظ´
0854Çóµ÷¼Á
ÒѾÓÐ14È˻ظ´
300Çóµ÷¼Á
ÒѾÓÐ9È˻ظ´
291Çóµ÷¼Á
ÒѾÓÐ7È˻ظ´
289 ·Ö105500ҩѧר˶Çóµ÷¼Á(ÕÒBÇøÑ§Ð£)
ÒѾÓÐ4È˻ظ´
³õÊÔ324 ÖÐҩѧ Ò»Ö¾Ô¸ÌìÖÐÒ½ Çóµ÷¼Á
ÒѾÓÐ3È˻ظ´
ҩѧÇóµ÷¼Á
ÒѾÓÐ14È˻ظ´
327Çóµ÷¼Á
ÒѾÓÐ27È˻ظ´
¼±Ðèµ÷¼Á
ÒѾÓÐ5È˻ظ´













»Ø¸´´ËÂ¥
10