| ²é¿´: 1045 | »Ø¸´: 3 | |||
ÍþÁ®C?º£Ä·Ð³æ (³õÈëÎÄ̳)
|
[½»Á÷]
¼ÆËãµçÈݺÍÀ©É¢¹±Ï× ÒÑÓÐ1È˲ÎÓë
|
|
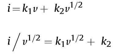
ÎÒ°´ÕÕÕâ¸ö¹«Ê½Ëã³öÀ´k1ÊǸºÊý£¬µçÈݹ±Ï׳¬¹ý100%£¬ÊǵçÁ÷·åλֵÕҵIJ»¶ÔÂð ·¢×ÔСľ³æAndroid¿Í»§¶Ë |
» ²ÂÄãϲ»¶
¿¼Ñе÷¼Á
ÒѾÓÐ1È˻ظ´
304Çóµ÷¼Á
ÒѾÓÐ1È˻ظ´
ÎïÀí»¯Ñ§ÂÛÎÄÈóÉ«/·ÒëÔõôÊÕ·Ñ?
ÒѾÓÐ85È˻ظ´
´óÁ¬¹¤Òµ´óѧ½ÜÇà/³¤½ÍŶÓÕÐÊÕ´¢ÄÜµç³Ø·½Ïò²©Ê¿
ÒѾÓÐ19È˻ظ´
0856Çóµ÷¼Á285
ÒѾÓÐ11È˻ظ´
¹è̼°ëµç³ØÑ»·Ò쳣ʧЧ
ÒѾÓÐ1È˻ظ´
26Äê´¢ÄÜ¡¢µç³Ø·½Ïò²©Ê¿ÉêÇë
ÒѾÓÐ1È˻ظ´
¼ªÁÖ´óѧÎïÀí»¯Ñ§×¨ÒµÕÐÉú¿¼ºËÖÆ²©Ê¿
ÒѾÓÐ20È˻ظ´
¼ªÁÖ´óѧÎïÀí»¯Ñ§×¨ÒµÕÐÉú2026¼¶¿¼ºËÖÆ²©Ê¿
ÒѾÓÐ20È˻ظ´
Ò»Ö¾Ô¸ºþÄÏ´óѧ0703£¬356·Ö£¬Çóµ÷¼Á
ÒѾÓÐ1È˻ظ´
0703»¯Ñ§Çóµ÷¼ÁѧУ
ÒѾÓÐ2È˻ظ´
ÍþÁ®C?º£Ä·
гæ (³õÈëÎÄ̳)
- Ó¦Öú: 0 (Ó×¶ùÔ°)
- ½ð±Ò: 96
- Ìû×Ó: 37
- ÔÚÏß: 8.7Сʱ
- ³æºÅ: 33091478
- ×¢²á: 2023-03-01
- רҵ: ÊýÀíͳ¼Æ
2Â¥2024-09-07 22:55:29
aasahr
ľ³æ (ÖøÃûдÊÖ)
- Ó¦Öú: 120 (¸ßÖÐÉú)
- ½ð±Ò: 2276.8
- É¢½ð: 668
- ºì»¨: 29
- Ìû×Ó: 1134
- ÔÚÏß: 484.4Сʱ
- ³æºÅ: 1178870
- ×¢²á: 2010-12-28
- ÐÔ±ð: GG
- רҵ: ¹¦ÄÜÓëÖÇÄܸ߷Ö×Ó
3Â¥2024-09-08 22:15:45
ÍþÁ®C?º£Ä·
гæ (³õÈëÎÄ̳)
- Ó¦Öú: 0 (Ó×¶ùÔ°)
- ½ð±Ò: 96
- Ìû×Ó: 37
- ÔÚÏß: 8.7Сʱ
- ³æºÅ: 33091478
- ×¢²á: 2023-03-01
- רҵ: ÊýÀíͳ¼Æ
4Â¥2024-09-10 14:47:42













»Ø¸´´ËÂ¥
5