| 查看: 2275 | 回复: 1 | ||
| 【悬赏金币】回答本帖问题,作者不会笑的猫将赠送您 20 个金币 | ||
[求助]
求助Fortran编写动力学方程 已有1人参与
|
||
|
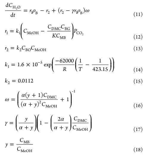
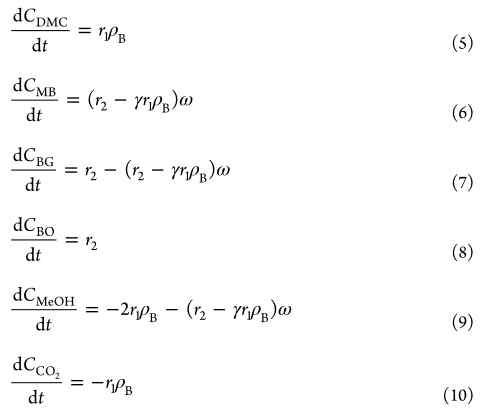
求助,用ASPEN与Fortran程序编写动力学方程,真的一点不懂,求帮助! 图片是速率表达式,其中浓度Ci的单位是mol/L,二氧化碳分压的单位是bar。平衡常数K为0.0036 (bar),催化剂体积密度ρB为33.3 (kg/m3),式17中的α值为0.0014。 发自小木虫Android客户端 |
» 猜你喜欢
材料考研调剂
已经有3人回复
材料调剂
已经有12人回复
英一数一408,总分284,二战真诚求调剂
已经有14人回复
085410 一志愿211 22408分数359求调剂
已经有4人回复
271求调剂
已经有19人回复
385分 生物学(071000)求调剂
已经有3人回复
一志愿安徽大学计算机科学与技术学硕,331分求调剂
已经有3人回复
318求调剂,计算材料方向
已经有8人回复
291求调剂
已经有25人回复
一志愿北京科技大学085601材料工程英一数二初试总分335求调剂
已经有6人回复
一直在纠结
铁杆木虫 (正式写手)
- 应助: 87 (初中生)
- 金币: 5839.5
- 散金: 190
- 红花: 20
- 帖子: 683
- 在线: 468.1小时
- 虫号: 2320219
- 注册: 2013-03-05
- 专业: 分离过程
2楼2024-07-06 23:17:31














回复此楼