| 查看: 900 | 回复: 0 | |||
[交流]
了解瑞舒伐他汀杂质
|
|
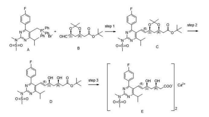
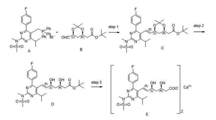
瑞舒伐他汀(英文名:rosuvastatin)商品名称为可定、crestor,是一类他汀类药物,是一种hmg-coa还原酶抑制剂,主要用于调整血脂及抗动脉粥样硬化。其药物剂型主要有包衣片。 一般常见的的瑞舒伐他汀药物为瑞舒伐他汀钙片,通过抑制hmg-coa还原酶,减少肝细胞合成及储存胆固醇,从而降低血中总胆固醇(tc)和低密度脂蛋白胆固醇(ldl-c)水平。 瑞舒伐他汀历史 瑞舒伐他汀钙的发展历史可以追溯至20世纪80年代末,当时由日本盐野义公司研发,代号为s-4522。1998年4月,日本盐野义公司将除在日本之外的专利转让给英国的阿斯利康公司。 在2002年11月,瑞舒伐他汀钙片首次在荷兰上市。随后,在2003年8月,它获得了美国fda的批准上市。到了2005年1月,日本也上市了这一药品。2007年,瑞舒伐他汀在中国上市,商品名为crestor,规格包括5mg、10mg及20mg。目前,该药品已在德国、意大利、澳大利亚、丹麦、葡萄牙等六十几个国家上市。 近年来,瑞舒伐他汀的研究显示其对各类血脂异常患者的低密度脂蛋白胆固醇降低效果均显着优于同类其他药物,而且还有改善血管内皮功能和稳定斑块、抗氧化等效果。 瑞舒伐他汀合成路线 目前已知的瑞舒伐他汀相关的合成工艺路线有不少,但并非所有的合成路线都有良好的前景。这里列举两种较为常见的路线 路线一:该合成方法是目前研究的重点路线,合成成本低,是目前市场上较为有潜力的路线。 路线二:同样作为目前仿制药研究的重点路线,同样大幅降低成本,作为工艺路线颇具潜力。 目前针对瑞舒伐他汀的工艺合成路线依旧在不断完善,多种合成路线百花齐放。恒丰万达在药物中间体开发等方面同样具备强大的实力。 瑞舒伐他汀杂质 虽然瑞舒伐他汀在降低血脂、抗动脉粥样硬化等多方面拥有突出的效果,但长期大量服用瑞舒伐他汀时也可能会造成转氨酶升高,对肾脏产生负面影响,引发肌肉疼痛甚至发展成为横纹肌溶解、肾衰等症状。 作为药品,瑞舒伐他汀的纯度、有害物质的含量,都会影响瑞舒伐他汀的药效,不同的杂质可能会导致瑞舒伐他汀药物产生不同的额外副作用。因此严控瑞舒伐他汀的纯度,避免药物中的杂质内容是重中之重。 恒丰万达作为一家拥有自主药物杂质对照品品牌的公司,提供小分子化合物合成定制及制备分离等服务,产品包括药物标准品、药物杂质对照品、特色中间体、分析检测以及化合物定制合成服务。汇集超数万种杂质对照品和标准品,已完成数百种特色中间体定制合成。种类齐全,涵盖98%以上前沿仿制药项目。 公司常规配置coa,hplc, h-nmr,ms满足基本需求。企业根据自身需求,可另外检测c-nmr、tga、qnmr、ir、uv、二维谱等。适用于药物的分析与质量控制。 链接:https://pan.baidu.com/s/1zwi28pa4bmf3pqw1j9hjsa?pwd=7tvm 提取码:7tvm 发自小木虫Android客户端 |
» 猜你喜欢
26申博,活性成分递送以及乳液、乳凝胶包埋
已经有9人回复
微谱求助
已经有0人回复
药物学论文润色/翻译怎么收费?
已经有93人回复
数据驱动智能故障诊断技术应用与实践
已经有0人回复
基于AI智能算法的装备结构可靠性分析与优化设计技术
已经有0人回复
求助求助
已经有0人回复
农业资源与环境、智慧农业专业本科生毕业论文课题选题求助
已经有1人回复
人工智能赋能聚合物及复合材料模型应用与实践
已经有0人回复
中国药科大学2026入学博士,药物合成和设计经验,放射化学及放射医学研究
已经有25人回复
各国和国际组织现行药典注射用水质量标准
已经有0人回复
求助用微谱数据库查询
已经有0人回复














回复此楼