24小时热门版块排行榜    

查看: 2038  |  回复: 0
【悬赏金币】回答本帖问题,作者rtd将赠送您 5 个金币

rtd

银虫 (小有名气)

[求助] 这个极坐标一维非稳态扩散方程有没有可能得到解析解

求高手指点。

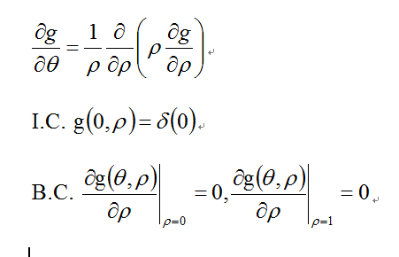
这个极坐标一维非稳态扩散方程有没有可能得到解析解
无标题.png
回复此楼

» 猜你喜欢

已阅   回复此楼   关注TA 给TA发消息 送TA红花 TA的回帖
相关版块跳转 我要订阅楼主 rtd 的主题更新
不应助 确定回帖应助 (注意:应助才可能被奖励,但不允许灌水,必须填写15个字符以上)
最具人气热帖推荐 [查看全部] 作者 回/看 最后发表
[考研] 南昌大学材料专硕311分求调剂 +6 77chaselx 2026-03-20 6/300 2026-03-21 07:24 by JourneyLucky
[考研] 一志愿山大07化学 332分 四六级已过 本科山东双非 求调剂! +3 不想理你 2026-03-16 3/150 2026-03-21 03:59 by JourneyLucky
[考研] 机械专硕299求调剂至材料 +3 kkcoco25 2026-03-16 4/200 2026-03-21 03:52 by JourneyLucky
[考研] 初始318分求调剂(有工作经验) +3 1911236844 2026-03-17 3/150 2026-03-21 02:33 by JourneyLucky
[考研] 一志愿中国石油大学(华东) 本科齐鲁工业大学 +3 石能伟 2026-03-17 3/150 2026-03-21 02:22 by JourneyLucky
[考研] 307求调剂 +10 冷笙123 2026-03-17 10/500 2026-03-21 01:54 by JourneyLucky
[考研] 一志愿西南交大,求调剂 +5 材化逐梦人 2026-03-18 5/250 2026-03-21 00:26 by JourneyLucky
[考研] 274求调剂 +10 S.H1 2026-03-18 10/500 2026-03-20 23:51 by JourneyLucky
[考研] 中南大学化学学硕337求调剂 +3 niko- 2026-03-19 6/300 2026-03-20 21:58 by luoyongfeng
[考研] 一志愿中南化学(0703)总分337求调剂 +8 niko- 2026-03-19 9/450 2026-03-20 21:57 by luoyongfeng
[考研] 求调剂 +3 eation27 2026-03-20 3/150 2026-03-20 19:32 by JourneyLucky
[基金申请] 学校已经提交到NSFC,还能修改吗? 40+4 babangida 2026-03-19 8/400 2026-03-20 15:58 by babero
[考研] 281求调剂(0805) +14 烟汐忆海 2026-03-16 25/1250 2026-03-20 15:47 by yuncha
[考博] 申博26年 +3 八6八68 2026-03-19 3/150 2026-03-19 19:43 by nxgogo
[考研] 085601求调剂 +4 Du.11 2026-03-16 4/200 2026-03-17 17:08 by ruiyingmiao
[考研] 一志愿苏州大学材料工程(085601)专硕有科研经历三项国奖两个实用型专利一项省级立项 +6 大火山小火山 2026-03-16 8/400 2026-03-17 15:05 by 无懈可击111
[考研] 302求调剂 +4 小贾同学123 2026-03-15 8/400 2026-03-17 10:33 by 小贾同学123
[考研] 0854控制工程 359求调剂 可跨专业 +3 626776879 2026-03-14 9/450 2026-03-16 17:42 by 626776879
[考研] 326求调剂 +3 mlpqaz03 2026-03-15 3/150 2026-03-16 07:33 by Iveryant
[考研] 288求调剂 +4 奇点0314 2026-03-14 4/200 2026-03-14 23:04 by JourneyLucky
信息提示
请填处理意见