| ²é¿´: 508 | »Ø¸´: 0 | ||
| ¡¾ÐüÉͽð±Ò¡¿»Ø´ð±¾ÌûÎÊÌ⣬×÷ÕßСÑò²»°®³Ô²Ý½«ÔùËÍÄú 6 ¸ö½ð±Ò | ||
СÑò²»°®³Ô²Ýгæ (СÓÐÃûÆø)
|
[ÇóÖú]
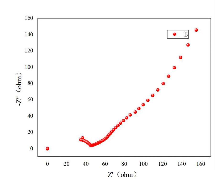
ï®µç³Ø¸º¼«²ÄÁÏ£¬×迹
|
|
|
ÎÒµÄ×迹°ëԲΪʲô»á³öÏÖÕâÖÖÏÖÏó°¡£¬²»ÊÇÍêÕûµÄ°ëÔ²ÖмäȱÁËÒ»²¿·Ö£¬0.01-100000hz£¬Õñ·ù5mv£¬ÕâÊÇʲôÎÊÌâ°¡ ·¢×ÔСľ³æAndroid¿Í»§¶Ë [ Last edited by СÑò²»°®³Ô²Ý on 2024-5-23 at 10:48 ] |
» ²ÂÄãϲ»¶
070300Ò»Ö¾Ô¸211£¬312·ÖÇóµ÷¼ÁԺУ
ÒѾÓÐ14È˻ظ´
26Äê´¢ÄÜ¡¢µç³Ø·½Ïò²©Ê¿ÉêÇë
ÒѾÓÐ2È˻ظ´
ÎïÀí»¯Ñ§ÂÛÎÄÈóÉ«/·ÒëÔõôÊÕ·Ñ?
ÒѾÓÐ144È˻ظ´
070300»¯Ñ§Çóµ÷¼Á
ÒѾÓÐ13È˻ظ´
Çൺ´óѧ»¯Ñ§»¯¹¤Ñ§Ôº2026ÄêÕÐÊÕµ÷¼Á˶ʿÑо¿Éú
ÒѾÓÐ0È˻ظ´
±±·½¹¤Òµ´óѧ085808´¢Äܼ¼Êõ-02·½Ïò£¨µç³Ø£©½ÓÊÕµ÷¼ÁÉú
ÒѾÓÐ0È˻ظ´
272Çóµ÷¼Á£¬½ÓÊÜ¿çרҵµ÷¼Á£¡
ÒѾÓÐ3È˻ظ´
ÓÐÒ»ÇøTOPÂÛÎÄ£¬Çóµ÷¼Á
ÒѾÓÐ22È˻ظ´
´óÁ¬¹¤Òµ´óѧ½ÜÇà/³¤½ÍŶÓ-ÉúÎïÖʲÄÁÏ-´¢ÄÜµç³Ø·½ÏòÕÐÊÕ2026¼¶²©Ê¿Éú
ÒѾÓÐ14È˻ظ´
2026¹óÖÝ´óѧ²©Ê¿ÕÐÉú
ÒѾÓÐ0È˻ظ´
Çൺ´óѧ»¯Ñ§»¯¹¤Ñ§Ôº2026ÄêÕÐÊÕµ÷¼Á˶ʿÑо¿Éú
ÒѾÓÐ0È˻ظ´














»Ø¸´´ËÂ¥