| 查看: 829 | 回复: 0 | ||
| 【悬赏金币】回答本帖问题,作者大奔加一将赠送您 10 个金币 | ||
[求助]
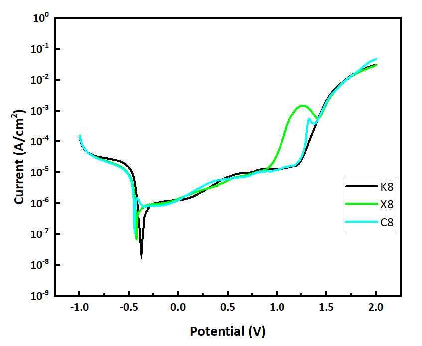
不锈钢的极化曲线
|
||
|
马氏体不锈钢的极化曲线一直分析不明白,看维钝电流和钝化区也都没有太大差别,该怎么办?不知道该用哪个参数来评判耐腐蚀性 发自小木虫Android客户端 |
» 猜你喜欢
【2026博士申请】化学、电池、材料
已经有2人回复
杰青/长江团队招收硕士调剂
已经有5人回复
物理化学论文润色/翻译怎么收费?
已经有164人回复
青岛大学化学化工学院2026年招收调剂硕士研究生
已经有0人回复
材料科学与工程 或 材料与化工(专硕)调剂 要求:初试考408
已经有0人回复
298分 070300求调剂
已经有11人回复
湖南大学张世国团队招26年第二批博士—离子液体、高分子与凝胶材料
已经有0人回复
湖南农业大学能源材料创新团队招收2025化学专业研究生(学硕)调剂
已经有0人回复
2026年西华大学材料学院-材料近净成形与表面技术研究团队-招收调剂研究生
已经有3人回复
调剂信息
已经有0人回复
华南理工0703化学,总分336求调剂
已经有1人回复














回复此楼