Znn3bq.jpeg
²é¿´: 954  |  »Ø¸´: 0

¹âing

Í­³æ (СÓÐÃûÆø)

[½»Á÷] OptiSystemÓ¦ÓãºEDFAÖÐÀë×Ó-Àë×ÓÏ໥×÷ÓÃЧӦ

±¾°¸ÀýչʾÁËEDFAÖеÄÁ½ÖÖÀë×Ó-Àë×ÓÏ໥×÷ÓÃЧӦ£º
1. ¾ùÔÈÉÏת»»£¨HUC£©
2. ·Ç¾ùÔÈÀë×Ó¶ÔŨ¶È´ãÃð£¨PIQ£©
Àë×Ó-Àë×ÓÏ໥×÷ÓÃÐ§Ó¦Éæ¼°Ï¡ÍÁÀë×ÓÖ®¼äµÄÄÜÁ¿×ªÒÆÎÊÌâ¡£µ±Ï¡ÓÐÀë×ӵľֲ¿Å¨¶È±äµÃ×ã¹»¸ßʱ£¬¾Í²»ÄܼÙÉèÿ¸ö¹ÂÁ¢µÄÀë×Ó¶¼ÊǶÀÁ¢×÷ÓÃÓÚÆäÖÜΧ¡£µ±·Å´óת»»µÄÉÏÄܼ¶±»ÄÜÁ¿×ªÒƺľ¡Ê±£¬Õâ¿ÉÄܶԷŴóÆ÷ÐÔÄܲúÉú¸ºÃæÓ°Ïì¡£
Ò»¡¢¾ùÔÈÉÏת»»
¾ùÔÈÉÏת»»Ð§Ó¦ÊÇEr3+¨CEr3+Ï໥×÷ÓÃЧӦ£¬Æä¶ÔEDFAÐÔÄܵÄÓ°ÏìÓë¹âÏËÖÐîïÀë×ÓµÄŨ¶ÈÓйء£ÔÚ¾ßÓиßŨ¶ÈîïÀë×Ó£¨nt>5.1024m-3£©µÄ¹âÏËÖУ¬Óë¾ßÓнϵÍîïŨ¶ÈµÄ¹âÏËÏà±È£¬·Ç¾ùÔÈÉÏת»»ÍùÍù»á¶Ô·Å´óÆ÷ÐÔÄÜÔì³É¸ü´óµÄË𺦡£
ΪÁËÖ¤Ã÷EDFAÖоùÔÈÉÏת»»µÄÓ°Ï죬Õë¶Ô²»Í¬µÄ¹âÏËÄ£ÄâÁËͼ1ÖÐËùʾµÄϵͳ£¬²¢·ÖÎöÁËÔöÒæ¡£
OptiSystemÓ¦ÓãºEDFAÖÐÀë×Ó-Àë×ÓÏ໥×÷ÓÃЧӦ

ͼ1.ÓÃÓÚ·ÖÎöEDFÖоùÔÈÉÏת»»µÄϵͳ²¼¾Ö
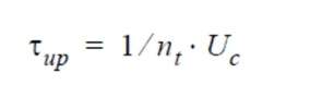
¹âÏ˵ÄÉÏת»»ÊÙÃü¶¨ÒåΪ£º
OptiSystemÓ¦ÓãºEDFAÖÐÀë×Ó-Àë×ÓÏ໥×÷ÓÃЧӦ-1
ÆäÖÐntÊÇîïÀë×ÓµÄŨ¶È£¬¶øUcÊÇÁ½Á£×ÓÉÏת»»ÏµÊý¡£
·Ö±ð·ÂÕæËÄÖÖ¹âÏË£ºÒ»ÖÖ¹âÏËûÓоùÔȵÄÉÏת»»Ð§Ó¦£¬ÈýÖÖ¹âÏ˵ÄÉÏת»»ÊÙÃü·Ö±ðΪ1ms¡¢2msºÍ5ms¡£
ËùÓйâÏ˶¼¿¼ÂÇÁËÏàͬµÄîïÀë×ÓŨ¶È¡£ÔÚ¿¼ÂǾùÔÈÉÏת»»µÄÏËάµÄÇé¿öÏ£¬ÉÏת»»ÏµÊý£¨Uc£©µÄÖµ±»ÉèÖÃÖ®ºó£¬±ãÈ·¶¨ÁËÏàÓ¦µÄÉÏת»»ÊÙÃü¡£
ͼ2£¨a£©ÏÔʾÁËûÓоùÔÈÉÏת»»µÄ¹âÏ˵ÄÑ¡ÏÉèÖã¬Í¼2£¨b£©¿¼ÂÇÁË1msµÄÉÏת»»ÊÙÃü¡£

OptiSystemÓ¦ÓãºEDFAÖÐÀë×Ó-Àë×ÓÏ໥×÷ÓÃЧӦ-2
a£©²»¿¼ÂǾùÔÈÉÏת»»

OptiSystemÓ¦ÓãºEDFAÖÐÀë×Ó-Àë×ÓÏ໥×÷ÓÃЧӦ-3
b£©¿¼ÂÇÁË1msµÄÉÏת»»ÊÙÃü
ͼ2.¹âÏËÉèÖÃ
¶Ô±ÃÆÖ¹¦ÂʽøÐвÎÊýɨÃ裬Èçͼ3£º

OptiSystemÓ¦ÓãºEDFAÖÐÀë×Ó-Àë×ÓÏ໥×÷ÓÃЧӦ-4
ͼ3.±ÃÆÖ²ÎÊýɨÃèÉèÖÃ
ÔÚÄ£ÄâÖ®ºó£¬»æÖÆÁËÿ¸ö¹âÏ˵ÄÔöÒæÓë±ÃÆÖ¹¦ÂʵÄÇúÏß¡£Í¼4ÏÔʾÁËÄ£Äâ½á¹û¡£¸Ã½á¹ûÏÔʾÁËÓÉÓÚÉÏת»»Ð§Ó¦¶øµ¼ÖµÄEDFAµÄÐÔÄÜϽµ¡£ÎªÁ˲¹³¥ÔöÒæµÄϽµ£¬±ØÐëÔö¼Ó±ÃÆÖ¹¦ÂÊ¡£


OptiSystemÓ¦ÓãºEDFAÖÐÀë×Ó-Àë×ÓÏ໥×÷ÓÃЧӦ-5
ͼ4.¹âÏ˵ÄÔöÒæÓë±ÃÆÖ¹¦ÂʵÄÇúÏß(HUC)
¶þ¡¢·Ç¾ùÔÈÀë×Ó¶ÔŨ¶È´ãÃð
·Ç¾ùÔÈÀë×Ó¶ÔŨ¶È´ãÃð£¨PIQ£©Ð§Ó¦Òâζ×ÅÁ½¸ö»ò¶à¸öÀë×ÓÖ®¼äµÄÄÜÁ¿´«µÝËÙÂÊÔÚʱ¼ä³ß¶ÈÉÏÃ÷ÏÔ¿ìÓÚ±ÃÆÖËÙÂÊ£¬Òò´ËÔÚËù¿¼ÂÇµÄ±ÃÆÖ¹¦ÂÊÏ£¬±ÃÆÖÎÞ·¨±£³ÖÁ½¸öÀë×Ó¶¼±»¼¤·¢¡£
µ±Óû§Ñ¡ÔñÀë×Ó-Àë×ÓÏ໥×÷ÓÃЧӦ²ÎÊýµÄ·Ç¾ùÔÈÑ¡Ïîʱ£¬²ôîï¹âÏË×é¼þ½«ÕâÖÖЧӦ¿¼ÂÇÔÚÄÚ¡£ÔÚÕâÖÖÇé¿öÏ£¬Óû§±ØÐëÖ¸¶¨¹âÏËÖдصÄÏà¶ÔÊýÁ¿£¨K£©ºÍÿ¸ö´ØµÄÀë×ÓÊýÁ¿£¨mk£©¡£Í¼5ÏÔʾÁËK=1.4%ºÍmk=2µÄ²ôÔÓ¹âÏ˵ÄʾÀý¡£

OptiSystemÓ¦ÓãºEDFAÖÐÀë×Ó-Àë×ÓÏ໥×÷ÓÃЧӦ-6
ͼ5.ÉèÖùâÏËÖеķǾùÔÈÀë×Ó¶ÔŨ¶È´ãÃð
ͨ¹ý·ÂÕæÑéÖ¤ÁËPIQ¶ÔEDFAÐÔÄÜÍË»¯µÄÓ°Ï졣ģÄâÖÐʹÓõĹâÏ˲ÎÊýºÍϵͳ²¼¾ÖÈçͼ6Ëùʾ¡£¸Ãϵͳ·ÂÕæ1530nm´¦µÄÐźÅÔöÒæÏà¶ÔÓÚ±ÃÆÖ¹¦ÂʵÄÇúÏß¡£ÊäÈëÐźŹ¦Âʱ£³ÖÔÚ-20dBm£¬980nm´¦µÄ±ÃÆÖ¹¦ÂÊÔÚ2mWµ½50mWÖ®¼ä±ä»¯¡£
OptiSystemÓ¦ÓãºEDFAÖÐÀë×Ó-Àë×ÓÏ໥×÷ÓÃЧӦ-7
ͼ6.ÓÃÓÚ·ÖÎöEDFÖзǾùÔÈÀë×Ó¶ÔŨ¶È´ãÃðµÄϵͳ²¼¾Ö
ÔÚÕâЩģÄâÖУ¬³ýÁ˴صÄÏà¶ÔÊýÁ¿Í⣬ËùÓйâÏ˲ÎÊý¶¼±£³Ö²»±ä£¬Õâ¶ÔÓÚÿÌõÇúÏß¶¼ÊDz»Í¬µÄ¡£ÔÚÄ£ÄâÖлñµÃÁËÈýÌõÇúÏßÀ´Ö¤Ã÷±ÃЧÂʵĽµµÍ¡£Í¼7ÏÔʾÁËÓëûÓÐPIQµÄ¹âÏË£¨K=0£©Ïà±È£¬Á½¸öÏà¶Ô´ØÊýÁ¿£¨K=10%ºÍK=20%£©µÄÔöÒæ½µµÍ¡£

OptiSystemÓ¦ÓãºEDFAÖÐÀë×Ó-Àë×ÓÏ໥×÷ÓÃЧӦ-8
ͼ7.¹âÏ˵ÄÔöÒæÓë±ÃÆÖ¹¦ÂʵÄÇúÏߣ¨PIQ£©
Ä£Äâ½á¹û±íÃ÷£¬ÓÉÓڷǾùÔÈÀë×Ó¶ÔŨ¶È´ãÃðµÄÓ°Ï죬EDFAµÄÐÔÄÜÓкܸߵÄÍË»¯¡£
²Î¿¼ÎÄÏ×£º
[1]P. C. Becker, N. A. Olsson, and J. R. Simpson. ¡°Erbium-Doped Fiber Amplifiers: Fundamentals and Technology¡±. Optics and Photonics, 1999.
[2]P. Mylinski, D. Nguyen, and J. Chrostowski.¡±Effects of concentration quenching on the performance of erbium doped fiber amplifiers¡±. Journal of Lightwave technology, vol. 15, no 1, January 1997.
»Ø¸´´ËÂ¥

» ²ÂÄãϲ»¶

¹âѧÉè¼Æ°¸Àý¡¢ÊÓÆµ¿Î³Ì¡¢Ê鼮ѧϰ×ÊÔ´
ÒÑÔÄ   »Ø¸´´ËÂ¥   ¹Ø×¢TA ¸øTA·¢ÏûÏ¢ ËÍTAºì»¨ TAµÄ»ØÌû
Ïà¹Ø°æ¿éÌø×ª ÎÒÒª¶©ÔÄÂ¥Ö÷ ¹âing µÄÖ÷Ìâ¸üÐÂ
×î¾ßÈËÆøÈÈÌûÍÆ¼ö [²é¿´È«²¿] ×÷Õß »Ø/¿´ ×îºó·¢±í
[¿¼ÑÐ] µ÷¼Á +25 ²»·ê´º 2026-04-07 26/1300 2026-04-12 11:53 by ´óÁ¦Ë®ÊÖÁ¦´óÎÞÇ
[¿¼ÑÐ] 0860004 Çóµ÷¼Á 309·Ö +9 Yin DY 2026-04-08 9/450 2026-04-11 22:55 by dongdian1
[¿¼ÑÐ] µ÷¼Á +4 µçÆø300Çóµ÷¼Á²» 2026-04-08 7/350 2026-04-11 10:44 by ×ÏêØ×ÏÆå
[¿¼ÑÐ] 302·ÖÇóµ÷¼Á +9 ·²ÓïÆíÔ¸ 2026-04-08 10/500 2026-04-10 23:26 by 314126402
[²ÄÁϹ¤³Ì] ²ÄÁϵ÷¼ÁÍÆ¼ö +8 µ°¸âx2 2026-04-07 8/400 2026-04-10 23:13 by Ftglcn90
[¿¼ÑÐ] 287Çóµ÷¼Á +15 Fnhc 2026-04-07 21/1050 2026-04-10 19:09 by chemisry
[¿¼ÑÐ] 273Çóµ÷¼Á +51 ÂóС¶£µ± 2026-04-06 58/2900 2026-04-10 15:54 by jiajinhpu
[¿¼ÑÐ] ²ÄÁÏר˶(0856) 339·ÖÇóµ÷¼Á +9 ¹þ¹þ¹þ¶ì¹þ¹þ¹þ 2026-04-09 10/500 2026-04-09 20:01 by Orcid
[ÂÛÎÄͶ¸å] ÇóÖúÎÄÏ×Ô­ÎÄ 10+3 18500821399 2026-04-08 3/150 2026-04-09 16:56 by ±±¾©À³ÒðÈóÉ«
[¿¼ÑÐ] 085400µç×ÓÐÅÏ¢Àࣨ´¨´ó¿ØÖƹ¤³Ì£©Çóµ÷¼Á¿É¿çרҵ ÇóÀÏʦÁªÏµ +3 626776879 2026-04-08 3/150 2026-04-09 16:05 by Öí»á·É
[¿¼ÑÐ] 274Çóµ÷¼Á +5 ɽ°¢Âû 2026-04-07 5/250 2026-04-09 15:28 by 18828373951
[¿¼ÑÐ] ²ÄÁϹ¤³Ì322 +18 ¹þ¹þ¹þºðºðºð¹þ 2026-04-07 19/950 2026-04-09 10:44 by cymywx
[¿¼ÑÐ] Çóµ÷¼Á£¬ÏÖÔÚ»¹ÄÜÌîµÄ +3 Éϰ¶Ð¡Ó¨¼ÓÓÍ 2026-04-08 3/150 2026-04-08 14:30 by zhq0425
[¿¼ÑÐ] ±¾¿ÆÉúÎïÐÅϢѧ£¬×Ü·Ö362 Çó07 08µ÷¼Á +6 qСٻ1210 2026-04-06 6/300 2026-04-07 19:40 by macy2011
[¿¼ÑÐ] 085602µ÷¼Á ³õÊÔ×Ü·Ö335 +3 19123253302 2026-04-06 3/150 2026-04-07 18:00 by jp9609
[¿¼ÑÐ] 22408 µ÷¼Á²ÄÁÏ +7 ÎÒ½Ðez 2026-04-06 8/400 2026-04-07 17:12 by À¶ÔÆË¼Óê
[¿¼ÑÐ] Ò»Ö¾Ô¸Î÷µç085401Çóµ÷¼Á +4 sunw1306 2026-04-07 4/200 2026-04-07 16:40 by à£à£à£0119
[¿¼ÑÐ] Ò»Ö¾Ô¸ºÓ±±¹¤Òµ´óѧ²ÄÁϹ¤³Ì£¬³õÊÔ344Çóר˶µ÷¼Á +6 15933906766 2026-04-05 6/300 2026-04-06 13:21 by Î޼ʵIJÝÔ­
[¿¼ÑÐ] Ò»Ö¾Ô¸Î人Àí¹¤´óѧ080200»úе¹¤³Ì308·Ö£¬Çóµ÷¼Á +4 ÖÕ²»ËÆ´Óǰ 2026-04-05 4/200 2026-04-06 11:46 by ¿¼ÑÐѧУÕеãÈË
[¿¼ÑÐ] 319Çóµ÷¼Á +3 handrui 2026-04-05 3/150 2026-04-06 09:33 by jp9609
ÐÅÏ¢Ìáʾ
ÇëÌî´¦ÀíÒâ¼û