Znn3bq.jpeg
²é¿´: 2391  |  »Ø¸´: 0
¡¾ÐüÉͽð±Ò¡¿»Ø´ð±¾ÌûÎÊÌ⣬×÷Õßjuan27½«ÔùËÍÄú 50 ¸ö½ð±Ò

juan27

½ð³æ (ÖøÃûдÊÖ)

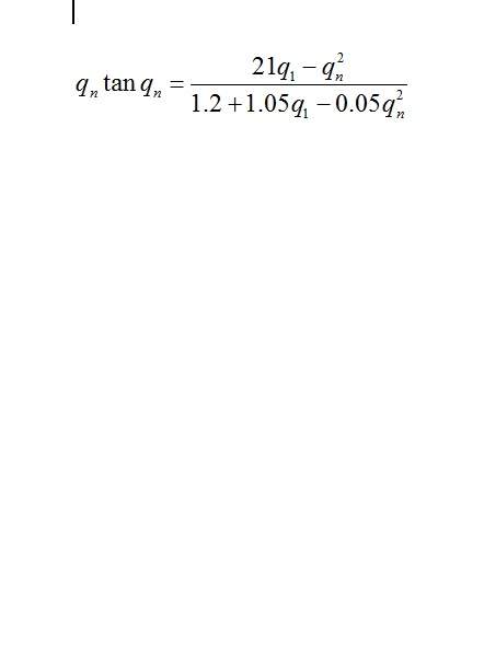
[ÇóÖú] qn µÄÕý¸úÇó½âq1 MATLAB Çó½â´úÂë

ÇëÇó´óÉñ°ïÎÒдһ¸öÕâ¸ö¹«Ê½Çó½âq1µÄ´úÂë £¬Ó¦ÓÃmatlab¡£
qn µÄÕý¸úÇó½âq1  MATLAB Çó½â´úÂë
ÎÞ±êÌâ.jpg
»Ø¸´´ËÂ¥

» ±¾Ìû¸½¼þ×ÊÔ´Áбí

  • »¶Ó­¼à¶½ºÍ·´À¡£ºÐ¡Ä¾³æ½öÌṩ½»Á÷ƽ̨£¬²»¶Ô¸ÃÄÚÈݸºÔð¡£
    ±¾ÄÚÈÝÓÉÓû§×ÔÖ÷·¢²¼£¬Èç¹ûÆäÄÚÈÝÉæ¼°µ½ÖªÊ¶²úȨÎÊÌ⣬ÆäÔðÈÎÔÚÓÚÓû§±¾ÈË£¬Èç¶Ô°æÈ¨ÓÐÒìÒ飬ÇëÁªÏµÓÊÏ䣺xiaomuchong@tal.com
  • ¸½¼þ 1 : Ä£ÐÍÎÊÌâ.docx
  • 2023-12-20 10:43:54, 108.37 K

» ²ÂÄãϲ»¶

×ö×îºÃµÄ×Ô¼º
ÒÑÔÄ   »Ø¸´´ËÂ¥   ¹Ø×¢TA ¸øTA·¢ÏûÏ¢ ËÍTAºì»¨ TAµÄ»ØÌû
Ïà¹Ø°æ¿éÌø×ª ÎÒÒª¶©ÔÄÂ¥Ö÷ juan27 µÄÖ÷Ìâ¸üÐÂ
²»Ó¦Öú È·¶¨»ØÌûÓ¦Öú (×¢Ò⣺ӦÖú²Å¿ÉÄܱ»½±Àø£¬µ«²»ÔÊÐí¹àË®£¬±ØÐëÌîд15¸ö×Ö·ûÒÔÉÏ)
×î¾ßÈËÆøÈÈÌûÍÆ¼ö [²é¿´È«²¿] ×÷Õß »Ø/¿´ ×îºó·¢±í
[¿¼ÑÐ] ±¾¿ÆÎ÷¹¤´ó 0856 324Çóµ÷¼Á +10 wysyjs25 2026-04-09 11/550 2026-04-10 08:37 by 5268321
[¿¼ÑÐ] Ò»Ö¾Ô¸»¦9£¬326ÉúÎïѧÇóÏà¹Ø×¨Òµµ÷¼Á +3 Áõīī 2026-04-09 3/150 2026-04-10 08:37 by 1753564080
[¿¼ÑÐ] Ò»Ö¾Ô¸0703»¯Ñ§ÕÐ61×îÖÕÅÅÃû62»¯Ñ§Çóµ÷¼Á +16 ÕÐ61ÅÅÃû62 2026-04-07 19/950 2026-04-09 20:44 by zhouxiaoyu
[¿¼ÑÐ] 299Çóµ÷¼Á +6 ZVVZ13 2026-04-08 6/300 2026-04-09 15:48 by wp06
[¿¼ÑÐ] 085600£¬321·ÖÇóµ÷¼Á +19 ´ó²öС×Ó 2026-04-04 20/1000 2026-04-09 14:12 by Delta2012
[¿¼ÑÐ] ²ÄÁϵ÷¼Á +14 Ò»ÑùYWY 2026-04-05 15/750 2026-04-09 13:36 by ¹ÊÈË??
[¿¼ÑÐ] Çóµ÷¼Á +3 ÖíÈâ¶Õ·ÛÌõcc 2026-04-08 4/200 2026-04-09 10:05 by ÖíÈâ¶Õ·ÛÌõcc
[¿¼ÑÐ] 334Çóµ÷¼Á +16 Riot2025 2026-04-08 17/850 2026-04-09 09:28 by wdyheheeh
[¿¼ÑÐ] Çóµ÷¼Á +13 Æâluck 2026-04-07 13/650 2026-04-08 22:46 by Öí»á·É
[¿¼ÑÐ] 320·ÖÈ˹¤ÖÇÄܵ÷¼Á +9 Õñ¡ªTZ 2026-04-03 10/500 2026-04-08 19:56 by Õñ¡ªTZ
[¿¼ÑÐ] ÍÁľˮÀûר˶276·ÖÇóµ÷¼Á +6 ÎÒÏëÉÏѧ£¡£¡6 2026-04-05 9/450 2026-04-08 17:45 by ËÎС±¦HQ
[¿¼ÑÐ] ²ÄÁÏר˶(0856) 339·ÖÇóµ÷¼Á +16 ¹þ¹þ¹þ¶ì¹þ¹þ¹þ 2026-04-05 16/800 2026-04-08 16:02 by luoyongfeng
[¿¼ÑÐ] 323Çóµ÷¼Á +3 ÁÖzlu 2026-04-07 4/200 2026-04-07 23:21 by lbsjt
[¿¼ÑÐ] 080500Çóµ÷¼Á +12 »ÆÓ 2026-04-06 12/600 2026-04-07 12:41 by upczlm1989
[¿¼ÑÐ] 319·Ö085702°²È«¹¤³ÌÇóµ÷¼Á +6 rious 2026-04-05 6/300 2026-04-07 09:42 by jp9609
[¿¼ÑÐ] 0854Çóµ÷¼Á +4 assdll 2026-04-05 4/200 2026-04-06 12:29 by ÖзÉÔº¿Õ¹ÜѧԺÑ
[¿¼ÑÐ] ²ÄÁÏר˶283Çóµ÷¼Á +17 ÊÔÊÔ¿´ß 2026-04-04 18/900 2026-04-06 09:24 by 286640313
[¿¼ÑÐ] 302·Ö 085601Çóµ÷¼ÁÍÆ¼ö +11 zyxÉϰ¶£¡ 2026-04-05 11/550 2026-04-05 22:13 by dongzh2009
[¿¼ÑÐ] 11408 Ò»Ö¾Ô¸Î÷µç£¬277·ÖÇóµ÷¼Á +4 zhouzhen654 2026-04-03 4/200 2026-04-04 18:10 by Öí»á·É
[¿¼ÑÐ] »úеר˶297 +3 Afksy 2026-04-03 3/150 2026-04-03 14:24 by 1753564080
ÐÅÏ¢Ìáʾ
ÇëÌî´¦ÀíÒâ¼û