| 查看: 1556 | 回复: 7 | ||||
[交流]
锂硫电池充放电曲线异常 已有4人参与
|
|
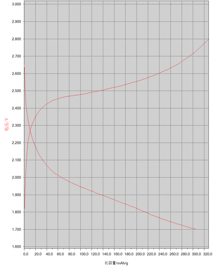
晚辈刚接触锂硫电池,有些地方不懂想和各位前辈请教。 图1是我组装的纯硫电池0.1c下前几圈的充放电曲线,想和大家请教曲线这样的走向是可以的嘛? 图2是同一个电池第50圈的充放电曲线,甚至两个放电平台都没有了,求大家赐教这是什么原因导致的? (图我放到评论区了) 发自小木虫IOS客户端 |
» 收录本帖的淘帖专辑推荐
锂硫 |
» 猜你喜欢
济南大学 材料科学与工程 李金凯课题组 招收调剂生2名(2026级)
已经有0人回复
Synthesis of NCo@CNT-NFT Hierarchical Carbon Dendrites.
已经有0人回复
物理化学论文润色/翻译怎么收费?
已经有126人回复
Ag纳米材料
已经有0人回复
长春工程学院市政工程方向有部分调剂名额,欢迎大家调剂到我校
已经有0人回复
招调剂
已经有0人回复
26年电池方向博士申请
已经有2人回复
运动康复求调剂
已经有0人回复
长春工程学院市政工程方向有部分调剂名额,欢迎大家调剂到我校
已经有0人回复
085500机械B区求调剂
已经有19人回复
中原工学院现有材料科学与工程和纳米科学与工程学术型、材料工程研究生调剂名额
已经有0人回复
2楼2023-11-03 19:59:49
3楼2023-11-03 20:01:37

4楼2023-11-08 11:25:29
5楼2024-03-25 20:01:52
6楼2024-03-25 20:02:51
薄雾zy
木虫 (正式写手)
- 应助: 72 (初中生)
- 金币: 2214.3
- 散金: 8
- 红花: 17
- 帖子: 340
- 在线: 88小时
- 虫号: 7246771
- 注册: 2017-09-29
- 性别: GG
- 专业: 电化学

7楼2024-04-15 14:56:22
8楼2025-03-10 14:05:44













回复此楼
5