24小时热门版块排行榜    

查看: 759  |  回复: 0

zvisco

铜虫 (小有名气)

[交流] 全自动乌氏粘度计测定甲基丙烯酸甲酯(MMA)黏数和特性粘度

甲基丙烯酸甲酯(MMA),又名异丁烯酸甲酯,是一种有机化合物,化学式为C5H8O2,为无色液体,微溶于水,溶于乙醇等多数有机溶剂,主要用于生产有机玻璃、模塑料、腈纶、涂料和医药功能高分子材料等,是航空航天、电子信息、光导纤维、机器人等领域高端材料。
       随着我国MMA产能的快速扩张,市场已进入红海阶段,比拼的是各自工艺的先进性和技术的竞争优势,因此企业只有持续提升自身的技术先进性并降低生产成本,才能在竞争中获胜。科研机构应加强与产业界的合作,开发满足企业原料多样化要求的多元化技术,并联手推进清洁生产新工艺的快速产业化,提高企业产品竞争力,推动我国MMA产业向高端发展。
全自动乌氏粘度计测定甲基丙烯酸甲酯(MMA)黏数和特性粘度
       目前毛细管法测定甲基丙烯酸甲酯(MMA)黏数和特性粘数是行业内作为控制产品质量重要的指标之一,按HG/T 2627-94中描述的步骤测定聚合物的黏数和特性黏数,溶剂优先选择三氯甲烷(分析纯)。

实验方法如下:
实验所需仪器:卓祥全自动粘度仪、震动器、万分之一电子天平。
实验所需试剂:三氯甲烷。
1、溶剂粘度的测定:卓祥全自动粘度仪设置到25℃温度值并且稳定后,加入三氯甲烷,软件中启动测试任务待结束。
2、粘度管的清洗:启动卓祥全自动粘度仪清洗、干燥程序,仪器自动将粘度管清洗干燥后待用。
3、MMA稀溶液样品的制备:用万分之一天平精准称量试样置于容量瓶中,加入三氯甲烷,常温下摇动促使完全溶解。然后用三氯甲烷稀释至刻度,再次摇动,待用。
4、样品粘度的测定:加入样品,启动软件中特定公式测试,待任务结束。
5、粘度管的清洗:再次启动卓祥全自动粘度仪清洗、干燥程序,仪器自动将粘度管清洗干燥后待用。
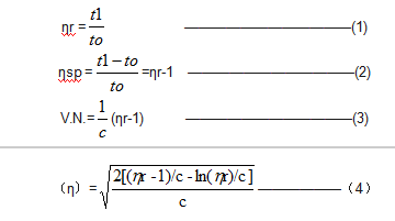
按公式(1)、(2)(3)(4)计算相对黏度(ηr)、增比黏度(ηsp)、黏数(V.N.)、特性黏度(〔η﹞):
全自动乌氏粘度计测定甲基丙烯酸甲酯(MMA)黏数和特性粘度-1

式中:
ηr——相对黏度;
t1——溶液流经时间,单位为秒(s);
to——溶剂流经时间,单位为秒(s);
ηsp——增比黏度;
V.N.——黏数,单位为毫升每克(mL/g);
〔η﹞——特性黏度;
c——溶液浓度,单位为克每毫升(g/mL)
回复此楼

» 本帖附件资源列表

» 猜你喜欢

» 本主题相关商家推荐: (我也要在这里推广)

已阅   回复此楼   关注TA 给TA发消息 送TA红花 TA的回帖
相关版块跳转 我要订阅楼主 zvisco 的主题更新
普通表情 高级回复 (可上传附件)
最具人气热帖推荐 [查看全部] 作者 回/看 最后发表
[考研] 一志愿 西北大学 总分282 英语一62 求调剂 +3 18419759900 2026-03-25 3/150 2026-03-25 23:20 by peike
[考研] 调剂310 +3 温柔的晚安 2026-03-25 4/200 2026-03-25 23:16 by peike
[考研] 北科281学硕材料求调剂 +14 tcxiaoxx 2026-03-20 16/800 2026-03-25 23:14 by peike
[考研] 0856求调剂 +5 zhn03 2026-03-25 6/300 2026-03-25 22:58 by peike
[考研] 07化学303求调剂 +5 睿08 2026-03-25 5/250 2026-03-25 22:46 by 418490947
[考研] 08工学调剂 +13 用户573181 2026-03-20 18/900 2026-03-25 22:00 by zbssa
[考研] 290分调剂求助 +3 吉祥止止陈 2026-03-25 3/150 2026-03-25 19:58 by barlinike
[考研] 086000生物与医药292求调剂 +4 小小陈小小 2026-03-22 7/350 2026-03-25 19:07 by 星空星月
[考研] 网络空间安全0839招调剂 +4 w320357296 2026-03-25 6/300 2026-03-25 17:59 by 255671
[考研] 0854AI CV方向招收调剂 +4 章小鱼567 2026-03-23 4/200 2026-03-25 17:04 by CoderLoser
[考研] 081700 调剂 267分 +10 迷人的哈哈 2026-03-23 10/500 2026-03-25 12:12 by userper
[考研] 287求调剂 +10 晨昏线与星海 2026-03-19 11/550 2026-03-25 10:35 by userper
[考研] 327求调剂 +5 prayer13 2026-03-23 5/250 2026-03-23 22:11 by 星空星月
[考研] 化学308分求调剂 +3 你好明天你好 2026-03-23 3/150 2026-03-23 20:11 by macy2011
[考研] 328求调剂 +4 LHHL66 2026-03-23 4/200 2026-03-23 14:55 by lbsjt
[考研] 070300,一志愿北航320求调剂 +3 Jerry0216 2026-03-22 5/250 2026-03-23 09:16 by 。。堂堂
[考研] 319求调剂 +4 小力气珂珂 2026-03-20 4/200 2026-03-22 15:53 by ColorlessPI
[考研] 求调剂 +5 Zhangbod 2026-03-21 7/350 2026-03-22 13:13 by Zhangbod
[考研] 一志愿东华大学控制学硕320求调剂 +3 Grand777 2026-03-21 3/150 2026-03-21 19:23 by 简之-
[考研] 336求调剂 +5 rmc8866 2026-03-21 5/250 2026-03-21 17:24 by 学员8dgXkO
信息提示
请填处理意见