24小时热门版块排行榜    

查看: 630  |  回复: 0
【悬赏金币】回答本帖问题,作者悠远的天穹将赠送您 25 个金币

悠远的天穹

金虫 (正式写手)

元帅

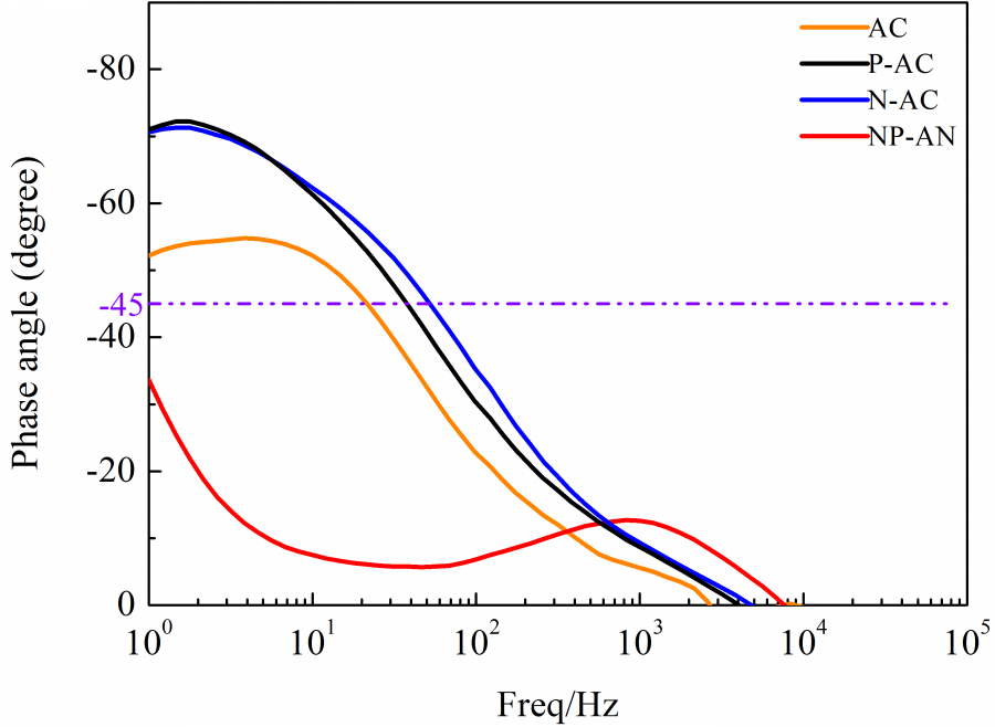
[求助] 超级电容器的阻抗测试:相位角和频率在45度没有接触,这种怎么解释?有相关的文献吗

超级电容器的阻抗测试:计算驰豫时间常数,相位角和频率在45度没有接触,这种怎么解释?有相关的文献吗

超级电容器的阻抗测试:相位角和频率在45度没有接触,这种怎么解释?有相关的文献吗
1.png
回复此楼
首战即决战,一战定乾坤。
已阅   回复此楼   关注TA 给TA发消息 送TA红花 TA的回帖
相关版块跳转 我要订阅楼主 悠远的天穹 的主题更新
不应助 确定回帖应助 (注意:应助才可能被奖励,但不允许灌水,必须填写15个字符以上)
最具人气热帖推荐 [查看全部] 作者 回/看 最后发表
[考研] 一志愿中科大材料与化工。353分能调剂到哪? +5 MayUxw1 2026-03-08 11/550 2026-03-13 19:20 by MayUxw1
[硕博家园] 085600 260分求调剂 +3 天空还下雨么 2026-03-13 5/250 2026-03-13 18:46 by 天空还下雨么
[考研] 085600材料与化工 求调剂 +5 enenenhui 2026-03-13 6/300 2026-03-13 18:33 by JourneyLucky
[文学芳草园] 伙伴们,祝我生日快乐吧 +12 myrtle 2026-03-10 16/800 2026-03-13 17:57 by myrtle
[考研] 工科材料085601 279求调剂 +8 困于星晨 2026-03-12 10/500 2026-03-13 15:42 by ms629
[考研] 314求调剂 +7 无懈可击的巨人 2026-03-12 7/350 2026-03-13 15:40 by JourneyLucky
[考研] 材料与化工求调剂一志愿 985 总分 295 +6 dream…… 2026-03-12 6/300 2026-03-13 14:57 by JourneyLucky
[考研] 085600材料与化工 309分请求调剂 +7 dtdxzxx 2026-03-12 8/400 2026-03-13 14:43 by jxchenghu
[考研] 【0703化学调剂】-一志愿华中师范大学-六级475 +4 Becho359 2026-03-11 4/200 2026-03-13 12:18 by 历史课代表百度
[考研] 工科0856专硕化学工程269能调剂吗 +10 我想读研11 2026-03-10 10/500 2026-03-13 10:14 by Yuyi.
[考博] 福州大学杨黄浩课题组招收2026年专业学位博士研究生,2026.03.20截止 +3 Xiangyu_ou 2026-03-12 3/150 2026-03-13 09:36 by duanwu655
[考研] 研究生招生 +3 徐海涛11 2026-03-10 7/350 2026-03-12 14:26 by 徐海涛11
[考研] 求调剂 +4 鹤遨予卿 2026-03-09 4/200 2026-03-11 10:47 by @飒飒飒飒
[考研] 大连大学化学专业研究生调剂 +3 琪久. 2026-03-10 8/400 2026-03-11 10:02 by 琪久.
[考研] 化工0817调剂 +8 灿若星晨 2026-03-10 8/400 2026-03-10 22:44 by 星空星月
[考研] 求调剂材料专硕293 +6 段_(:з」∠)_ 2026-03-10 6/300 2026-03-10 18:22 by ms629
[硕博家园] 木虫好像不热闹了,是不是? +4 偏振片 2026-03-10 4/200 2026-03-10 09:51 by longwave
[考研] 320求调剂 +4 魏zy 2026-03-08 4/200 2026-03-09 16:14 by ruiyingmiao
[考研] 0856求调剂 +3 squirtle11 2026-03-07 3/150 2026-03-09 09:54 by @飒飒飒飒
[考研] 求0856调剂 +5 小力气珂珂 2026-03-08 5/250 2026-03-09 06:42 by houyaoxu
信息提示
请填处理意见