| 查看: 1151 | 回复: 4 | ||
| 【悬赏金币】回答本帖问题,作者sxyzt将赠送您 50 个金币 | ||
sxyzt铁杆木虫 (职业作家)
|
[求助]
求分析石墨CV曲线
|
|
|
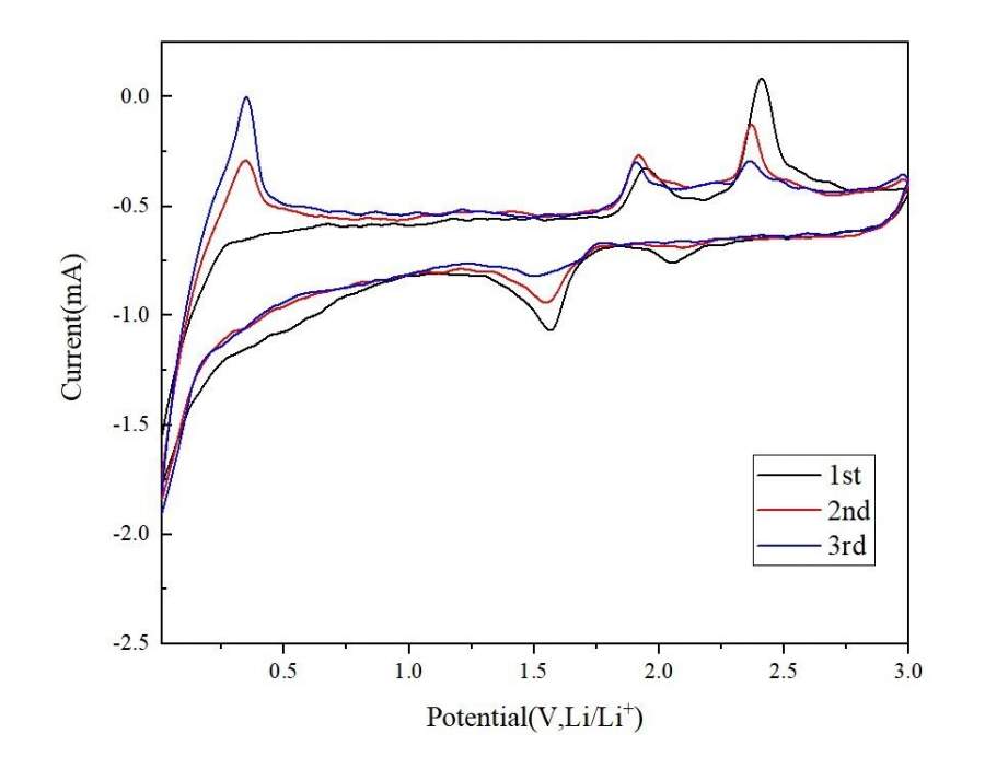
这种石墨cv曲线说明什么,看文献后面曲线都是平的,没有那么多氧化还原峰。 QQ图片20230715213047.jpg@langzhizhou@a88592718@Gamry-电化学@VIMPILE@louderbe |
» 猜你喜欢
【2026博士申请】化学、电池、材料
已经有2人回复
杰青/长江团队招收硕士调剂
已经有5人回复
物理化学论文润色/翻译怎么收费?
已经有173人回复
青岛大学化学化工学院2026年招收调剂硕士研究生
已经有0人回复
材料科学与工程 或 材料与化工(专硕)调剂 要求:初试考408
已经有0人回复
298分 070300求调剂
已经有11人回复
湖南大学张世国团队招26年第二批博士—离子液体、高分子与凝胶材料
已经有0人回复
湖南农业大学能源材料创新团队招收2025化学专业研究生(学硕)调剂
已经有0人回复
2026年西华大学材料学院-材料近净成形与表面技术研究团队-招收调剂研究生
已经有3人回复
调剂信息
已经有0人回复
华南理工0703化学,总分336求调剂
已经有1人回复
» 本主题相关商家推荐: (我也要在这里推广)
为嗳失落
金虫 (小有名气)
- 应助: 2 (幼儿园)
- 金币: 1117.5
- 红花: 5
- 帖子: 199
- 在线: 151.3小时
- 虫号: 2182013
- 注册: 2012-12-12
- 性别: GG
- 专业: 应用有机化学
| 首先分析Li的沉积脱出峰,即0-0.5V范围内,从第一周到第三周,Li的可逆嵌脱效率增大,表明在扫描的过程中负极的界面是有保护效果的,但第二周与第三周重合度不高,说明负极的界面膜的质量一般,并不能很好的抑制电解液与石墨的副反应,也就是说每次沉积的Li都会被副反应消耗,只是随着扫描的圈数增多,界面膜的保护效果增强,界面副反应减少了。再看1.25-3.0V的两组峰,应该对应着2种不同的可逆的氧化还原峰,一种是1.5V还原形成,1.9V左右氧化,另一种是2.0V还原形成,2.4V氧化。如果是添加剂,说明加的这物质不耐还原也不耐氧化,在石墨表面成膜的质量一般,抑制电解液副反应的效果一般。如果是其它物质,有点类似合金化反应,先还原形成合金,再氧化去合金。以上仅代表个人分析观点,若有错误,请指出,大家一起共同探讨;若有得罪,还请原谅,不喜勿喷。 |
» 本帖已获得的红花(最新10朵)
2楼2023-07-16 10:01:36
sxyzt
铁杆木虫 (职业作家)
- 应助: 4 (幼儿园)
- 金币: 6256.5
- 散金: 1338
- 红花: 12
- 帖子: 4053
- 在线: 963.9小时
- 虫号: 523516
- 注册: 2008-03-12
- 专业: 工程热物理相关交叉领域
3楼2023-07-16 22:36:03
陈陈橙橙
银虫 (小有名气)
- 应助: 0 (幼儿园)
- 金币: 238.9
- 散金: 30
- 帖子: 118
- 在线: 8.6小时
- 虫号: 21260379
- 注册: 2020-02-26
- 性别: GG
- 专业: 可再生与替代能源利用中的
4楼2023-09-18 22:43:59
sxyzt
铁杆木虫 (职业作家)
- 应助: 4 (幼儿园)
- 金币: 6256.5
- 散金: 1338
- 红花: 12
- 帖子: 4053
- 在线: 963.9小时
- 虫号: 523516
- 注册: 2008-03-12
- 专业: 工程热物理相关交叉领域
5楼2023-09-19 09:07:18














回复此楼
sxyzt