| 查看: 528 | 回复: 1 | ||
| 【悬赏金币】回答本帖问题,作者kcc00cck将赠送您 10 个金币 | ||
[求助]
数据拟合
|
||
|
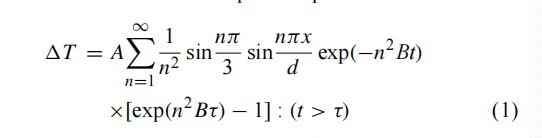
有一组t和T的实验数据,几百个数据点,怎么根据下面已知的函数模型进行曲线拟合得到参数A和B的值,模型中xdτ都已知,n可以设置为一个有限值,使用matlab中的lsqcurvefit函数拟合时运行速度非常慢,初值设置对拟合结果影响也非常大,该怎么解决?或者有其它方法拟合吗? 发自小木虫Android客户端 |
» 猜你喜欢
重庆交大26年硕士生招生拟调剂通知已出!欢迎加入光子学微结构与器件课题组。
已经有0人回复
UJN物理学专业调剂
已经有12人回复
物理学I论文润色/翻译怎么收费?
已经有297人回复
北京纳米能源与系统研究所王中林院士/曹南颖研究员课题组招收2026硕士研究生1名
已经有0人回复
山西大同大学物理学硕士研究生招收调剂生
已经有0人回复
[调剂信息]211智能人工感知方向国家青年特聘专家课题组招收调剂研究生
已经有0人回复
[调剂信息]211智能人工感知方向国家青年特聘专家课题组招收调剂研究生
已经有0人回复
[调剂信息]211智能人工感知方向国家青年特聘专家课题组招收调剂研究生
已经有0人回复
一志愿物理所凝聚态物理352求调剂
已经有0人回复
0702一志愿吉大B区求调剂 本科期间发表一篇Sci
已经有1人回复

2楼2023-03-22 11:33:54














回复此楼