| 查看: 628 | 回复: 0 | ||
| 【悬赏金币】回答本帖问题,作者qyyu_12将赠送您 50 个金币 | ||
[求助]
求助一个关于ECSA的测试小疑惑
|
||
|
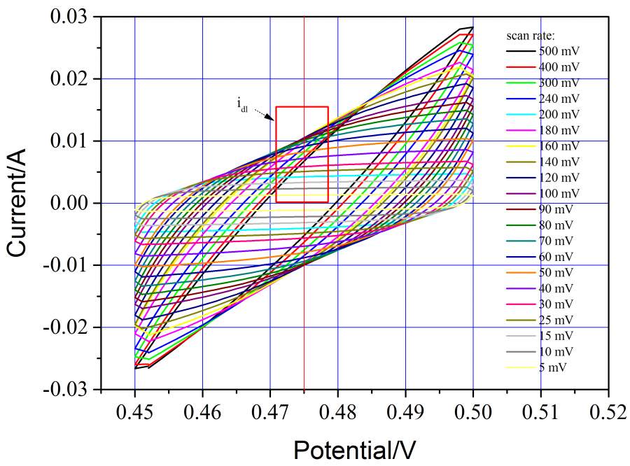
求助各位老师和同学:最近在学习使用Ir-Ta DSA 电极,想利用双电层电容法测试其电化学比表面积,发现随着扫速越来越大,CV的轮廓越来越窄,同时图中红色方框内的阳极电流不增反降,是因为DSA电极可暴露的外表面的双电层也在降低吗? 求助帖2.jpg |
» 猜你喜欢
德国Karlsruhe Institute of Technology招收电化学储能及联合培养CSC博士等
已经有20人回复
德国Karlsruhe Institute of Technology招收电化学储能及联合培养CSC博士
已经有24人回复
分析化学论文润色/翻译怎么收费?
已经有171人回复
德国Karlsruhe Institute of Technology招收电化学储能及联合培养CSC博士
已经有1人回复
固态锂金属电池迁移数计算求助
已经有1人回复
荷兰奈梅亨大学赵文博与Galimberti课题组招收理论计算CSC博士 2000 欧元/月+房补
已经有0人回复
26储能博士申请自荐
已经有22人回复
上海交通大学--宁波东方理工大学电池方向博士招生
已经有10人回复
海南大学全国重点实验室杨金霖老师招收储能电池方向博士生(2026年3月报名,9月入学)
已经有1人回复
海南师范大学2026年博士研究生招收 (在职想提升学历人员可报考) 申请考核制+普通招考
已经有0人回复
申博求助
已经有0人回复













回复此楼