| 查看: 1185 | 回复: 3 | ||
| 【悬赏金币】回答本帖问题,作者98246675将赠送您 14 个金币 | ||
[求助]
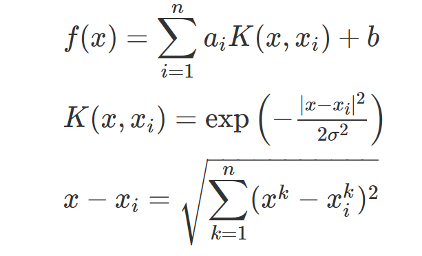
大佬求助,已知函数关系式如何将其转换为orgin里拟合可用的表达式 已有1人参与
|
||
|
|
||
![]() |
||
|
2楼2023-01-26 18:56:43
|
|
|
|
3楼2023-10-04 07:38:44
|
|
|
|
||
|
4楼2023-10-08 09:12:32
|
|
|














回复此楼
