| ²é¿´: 728 | »Ø¸´: 0 | |||
SONENCTгæ (³õÈëÎÄ̳)
|
[½»Á÷]
CO2-TPD²â¼Ø»ùÎü¸½¼ÁµÄ¼îÐÔλµã
|
|
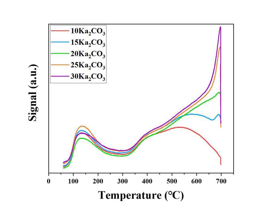
ÎÒ×öÁ˲»Í¬º¬Á¿»îÐÔ×é·ÖµÄ¸ºÔØÐͼػùÎü¸½¼Á£¬¶¼ÊÇÔÚ300¡æÏÂìÑÉյģ¬ÓÃÓÚ̼²¶¼¯¡£ÊµÑé½á¹û·¢ÏÖ£¬Ì¼Ëá¼Øº¬Á¿Ô½¸ß£¬Îü¸½ÐÔÄÜÔ½ºÃ¡£È»¶ø×öÁËCO2-TPD±íÕ÷£¬·¢ÏÖÔÚ100-150¡æÖ®¼ä£¬²¢²»ÊÇ»îÐÔ×é·Öº¬Á¿Ô½´ó£¬·åԽǿ¡£´ËÍ⣬ͨ³£À´ËµÔÚ500¡æÖ®ºóµÄ·åÊÇÓÉÑùÆ·ÍÑË®»òÕ߸ßη´Ó¦³öÏÖµÄÔӷ壬µ«È·ÊµÄܱíÏÖ³ö·ûºÏÀíÂ۵ĹæÂÉ¡£Ã¿´Î×öCO2-TPDʱ£¬ÑùÆ·µÄÖÊÁ¿Îó²î²»³¬¹ý0.0002g¡£²»Öª×÷ºÎ½âÊÍ£¿ ·¢×ÔСľ³æAndroid¿Í»§¶Ë |
» ²ÂÄãϲ»¶
Ë®ÐÔ¾Û°±õ¥ÈéÒºº¬ÆøÅÝÇóÖú
ÒѾÓÐ3È˻ظ´
ÕÐÊÕ2026ÄêÇï¼¾Èëѧ²©Ê¿Éú1Ãû£¨±±¾©¿Æ¼¼´óѧ Á¦Ñ§³¬²ÄÁÏ/»úÆ÷ѧϰ/Ôö²ÄÖÆÔìÏà¹Ø·½Ïò£©
ÒѾÓÐ21È˻ظ´
ÎÞ»ú·Ç½ðÊô²ÄÁÏÂÛÎÄÈóÉ«/·ÒëÔõôÊÕ·Ñ?
ÒѾÓÐ209È˻ظ´
ΪÏ𽺡¢ËÜÁÏÒÔ¼°¸ß·Ö×ӵȲÄÁÏÌṩÃâ·ÑʵÑ飨֧³Ö¼ÄÁÏ´òÑù£©
ÒѾÓÐ0È˻ظ´
ÕÐÊÕ26ÄêÇï¼¾Èëѧ²©Ê¿Éú£¨±±¿Æ´ó¸ß¾«¼âѧԺ Á¦Ñ§³¬²ÄÁÏ/»úÆ÷ѧϰ/Ôö²ÄÖÆÔìÏà¹Ø·½Ïò£©
ÒѾÓÐ18È˻ظ´
304·Ö²ÄÁÏר˶Çóµ÷¼Á
ÒѾÓÐ14È˻ظ´
²ÄÁÏ 336 Çóµ÷¼Á
ÒѾÓÐ4È˻ظ´
Çóµ÷¼Á ²ÄÁÏרҵ
ÒѾÓÐ3È˻ظ´
309Çóµ÷¼Á Ò»Ö¾Ô¸¶«»ª´óѧ
ÒѾÓÐ11È˻ظ´
¸£½¨Àí¹¤´óѧÕÐÊղĿÆÑ§Ë¶µ÷¼Á
ÒѾÓÐ10È˻ظ´














»Ø¸´´ËÂ¥