| 查看: 753 | 回复: 0 | |||
[交流]
CO2-TPD测钾基吸附剂的碱性位点
|
|
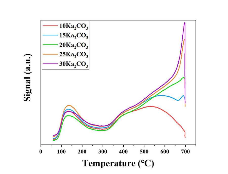
我做了不同含量活性组分的负载型钾基吸附剂,都是在300℃下煅烧的,用于碳捕集。实验结果发现,碳酸钾含量越高,吸附性能越好。然而做了CO2-TPD表征,发现在100-150℃之间,并不是活性组分含量越大,峰越强。此外,通常来说在500℃之后的峰是由样品脱水或者高温反应出现的杂峰,但确实能表现出符合理论的规律。每次做CO2-TPD时,样品的质量误差不超过0.0002g。不知作何解释? 发自小木虫Android客户端 |
» 猜你喜欢
生物学308分求调剂(一志愿华东师大)
已经有7人回复
296材料专硕求调剂
已经有18人回复
材料与化工306分找调剂
已经有18人回复
302求调剂
已经有9人回复
一志愿北京科技大学材料工程085601,求调剂
已经有11人回复
283分材料与化工求调剂
已经有19人回复
326求调剂
已经有8人回复
一志愿郑州大学材料与化工085600,求调剂
已经有10人回复
081200-11408-276学硕求调剂
已经有5人回复
280求调剂
已经有14人回复














回复此楼