| 查看: 1202 | 回复: 1 | ||
| 【悬赏金币】回答本帖问题,作者蓝色钢琴将赠送您 800 个金币 | ||
蓝色钢琴铁杆木虫 (著名写手)
|
[求助]
BET分析 已有1人参与
|
|
|
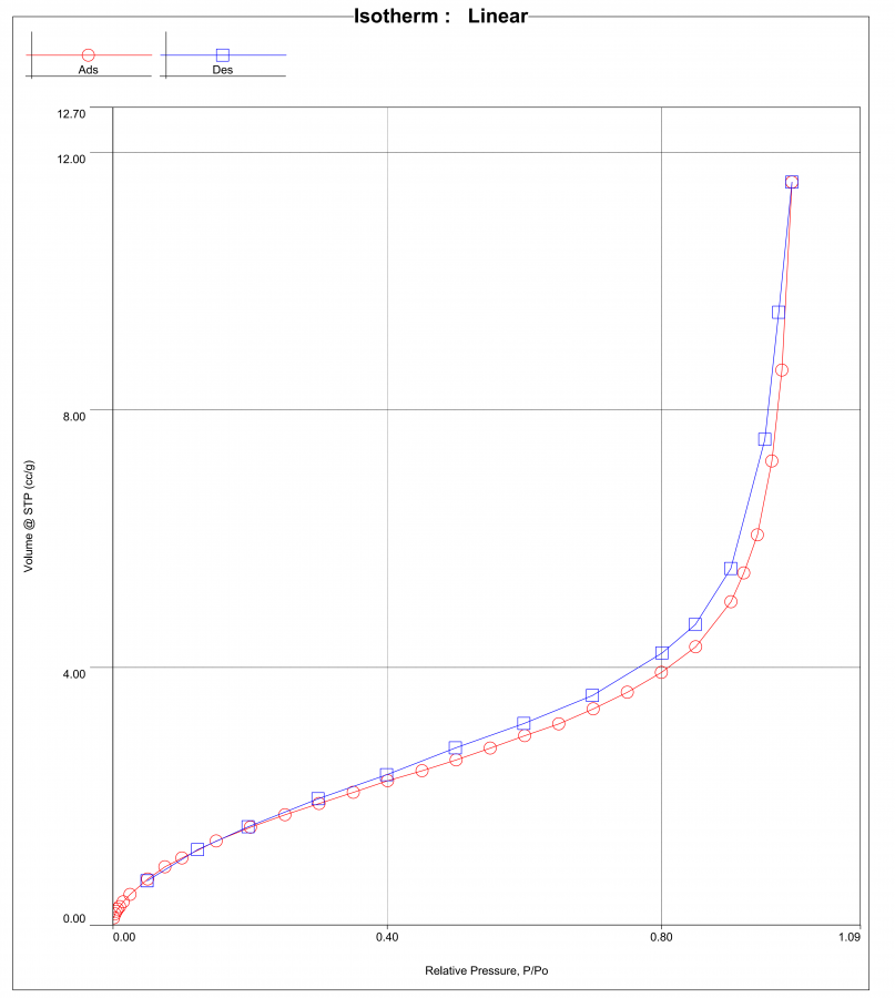
【求助BET分析】需要BET测试分析方面大神帮助分析几个样品的BET测试报告,包含: 1.吸脱附等温线; 2.多点BET; 3.总孔体积; 4.吸、脱附曲线得到的BJH孔径分布; 5.DFT模型孔径分布和DFT方法得到的孔体积分布图 对以上summary的分析以及多个样品的对比分析。 ![]() ![]() ![]() 1_01.png 1_03.png 1_05.png 1_07.png 1_09.png 1_12.png |
» 猜你喜欢
关于30°不全位错的柏氏回路的绘制
已经有0人回复
北京科技大学/李亚庚教授招收2026年秋季入学博士生
已经有11人回复
无机非金属材料论文润色/翻译怎么收费?
已经有211人回复
省级国家级人才计划申报
已经有0人回复
探究TGF-β在癌症免疫调控中的作用机制|肿瘤
已经有2人回复
探究TGF-β在癌症免疫调控中的作用机制|肿瘤
已经有10人回复
所以当初说在欧美生活𣎴用讲人情世故的人怎么生活的
已经有12人回复
求助Journal of Alloys and Compounds剘刊2014年612卷的封皮、目录、版权页或封底
已经有5人回复
TEM衍射斑点求助
已经有1人回复
北大核心期刊目录
已经有2人回复
2楼2022-06-29 14:19:47














回复此楼